\(\rightarrow\) Extend simple linear regression to multiple predictors.
Prostate specific antigen (PSA) and a number of clinical variables for 97 males with radical prostatectomy.
Association of PSA by
prostate <- read_csv("https://raw.githubusercontent.com/GTPB/PSLS20/master/data/prostate.csv")
prostate
Separate simple linair models, like
\[E(Y|X_v)=\alpha+\beta_v X_v\]
\[\begin{equation} Y_i =\beta_0 + \beta_1 X_{i1} + ... +\beta_{p-1} X_{ip-1} + \epsilon_i \end{equation}\]
Model allows to
Interpretation \(\beta_j\):
or
Call:
lm(formula = lpsa ~ lcavol, data = prostate)
Residuals:
Min 1Q Median 3Q Max
-1.67624 -0.41648 0.09859 0.50709 1.89672
Coefficients:
Estimate Std. Error t value Pr(>|t|)
(Intercept) 1.50730 0.12194 12.36 <2e-16 ***
lcavol 0.71932 0.06819 10.55 <2e-16 ***
---
Signif. codes: 0 '***' 0.001 '**' 0.01 '*' 0.05 '.' 0.1 ' ' 1
Residual standard error: 0.7875 on 95 degrees of freedom
Multiple R-squared: 0.5394, Adjusted R-squared: 0.5346
F-statistic: 111.3 on 1 and 95 DF, p-value: < 2.2e-16
Call:
lm(formula = lpsa ~ lcavol + lweight + svi, data = prostate)
Residuals:
Min 1Q Median 3Q Max
-1.72966 -0.45767 0.02814 0.46404 1.57012
Coefficients:
Estimate Std. Error t value Pr(>|t|)
(Intercept) -0.26807 0.54350 -0.493 0.62301
lcavol 0.55164 0.07467 7.388 6.3e-11 ***
lweight 0.50854 0.15017 3.386 0.00104 **
sviinvasion 0.66616 0.20978 3.176 0.00203 **
---
Signif. codes: 0 '***' 0.001 '**' 0.01 '*' 0.05 '.' 0.1 ' ' 1
Residual standard error: 0.7168 on 93 degrees of freedom
Multiple R-squared: 0.6264, Adjusted R-squared: 0.6144
F-statistic: 51.99 on 3 and 93 DF, p-value: < 2.2e-16

If data are representative than the least squares estimators for the intercept and slopes are unbiased. \[E[\hat \beta_j]=\beta_j,\quad j=0,\ldots,p-1\]
Gain insight in the distribution of the parameter estimators so as to generalize the effect in the sample to the population.
Additional assumptions are needed for inference.
Linearity
Independence
Homoscedasticity of equal variance
Normality: residuals \(\epsilon_i\) are normally distributed.
Under these assumptions: \[\epsilon_i \sim N(0,\sigma^2)\] and \[Y_i\sim N(\beta_0+\beta_1 X_{i1}+\ldots+\beta_{p-1} X_{ip-1},\sigma^2)\]
Slopes are again more precise if the predictor values have a larger range.
Conditional variance (\(\sigma^2\)) can again be estimated based on the mean squared error (MSE):
\[\hat\sigma^2=MSE=\frac{\sum\limits_{i=1}^n \left(y_i-\hat\beta_0-\hat\beta_1 X_{i1}-\ldots-\hat\beta_{p-1} X_{ip-1}\right)^2}{n-p}=\frac{\sum\limits_{i=1}^n e^2_i}{n-p}\]
Again hypothesis tests and confidence intervals by \[T_k=\frac{\hat{\beta}_k-\beta_k}{SE(\hat{\beta}_k)} \text{ met } k=0, \ldots, p-1\]
If all assumptions are satisfied than the statistics \(T_k\) t-distributed with \(n-p\) degrees of freedom.
When normality thus not hold, but lineariteit, independence and homoscedasticity are valid we can again adopt the CLT that states that statistic \(T_k\) is approximately normally distributed in large samples.
We can build confidence intervals on the slopes by: \[[\hat\beta_j - t_{n-p,\alpha/2} \text{SE}_{\hat\beta_j},\hat\beta_j + t_{n-p,\alpha/2} \text{SE}_{\hat\beta_j}]\]
2.5 % 97.5 %
(Intercept) -1.3473509 0.8112061
lcavol 0.4033628 0.6999144
lweight 0.2103288 0.8067430
sviinvasion 0.2495824 1.0827342
Formal hypothesis tests: \[H_0: \beta_j=0\] \[H_1: \beta_j\neq0\]
With test statistic \[T=\frac{\hat{\beta}_j-0}{SE(\hat{\beta}_j)}\] which follows a t-distribution with \(n-p\) degrees of freedom under \(H_0\)
Call:
lm(formula = lpsa ~ lcavol + lweight + svi, data = prostate)
Residuals:
Min 1Q Median 3Q Max
-1.72966 -0.45767 0.02814 0.46404 1.57012
Coefficients:
Estimate Std. Error t value Pr(>|t|)
(Intercept) -0.26807 0.54350 -0.493 0.62301
lcavol 0.55164 0.07467 7.388 6.3e-11 ***
lweight 0.50854 0.15017 3.386 0.00104 **
sviinvasion 0.66616 0.20978 3.176 0.00203 **
---
Signif. codes: 0 '***' 0.001 '**' 0.01 '*' 0.05 '.' 0.1 ' ' 1
Residual standard error: 0.7168 on 93 degrees of freedom
Multiple R-squared: 0.6264, Adjusted R-squared: 0.6144
F-statistic: 51.99 on 3 and 93 DF, p-value: < 2.2e-16
The previous model is additive because the contribution of the cancer volume on lpsa does not depend on the height of the prostate weight and the svi status.
The slope for lcavol does not depend on log prostate weight and svi.
\[ \beta_0 + \beta_v (x_{v}+\delta_v) + \beta_w x_{w} +\beta_s x_{s} - \beta_0 - \beta_v x_{v} - \beta_w x_{w} -\beta_s x_s = \beta_v \delta_v \]
The svi status and the log-prostategewicht (\(x_w\)) do not influence the contribution of the log-tumor volume (\(x_v\)) to the average log-PSA and vice versa.
To model this interactie or effect modification we can add a product term of both variables to the model
\[ Y_i = \beta_0 + \beta_v x_{iv} + \beta_w x_{iw} +\beta_s x_{is} + \beta_{vw} x_{iv}x_{iw} +\epsilon_i \]
This term quantifies the interactie-effect of predictors \(x_v\) en \(x_w\) on the mean outcome.
Terms \(\beta_vx_{iv}\) and \(\beta_wx_{iw}\) are referred to as main effects of predictors \(x_v\) and \(x_w\).
The difference in lpsa for patients that differ 1 unit in \(X_v\) and have an equal log prostate weight and the same svi status now becomes:
\[ \begin{array}{l} E(Y | X_v=x_v +1, X_w=x_w, X_s=x_s) - E(Y | X_v=x_v, X_w=x_w, X_s=x_s) \\ \quad = \beta_0 + \beta_v (x_{v}+1) + \beta_w x_w +\beta_s x_{s} + \beta_{vw} (x_{v}+1) x_w - \beta_0 - \beta_v x_{v} - \beta_w x_w -\beta_s x_{s} - \beta_{vw} (x_{v}) x_w \\ \quad = \beta_v + \beta_{vw} x_w \end{array} \]
Call:
lm(formula = lpsa ~ lcavol + lweight + svi + lcavol:lweight,
data = prostate)
Residuals:
Min 1Q Median 3Q Max
-1.65886 -0.44673 0.02082 0.50244 1.57457
Coefficients:
Estimate Std. Error t value Pr(>|t|)
(Intercept) -0.6430 0.7030 -0.915 0.36278
lcavol 1.0046 0.5427 1.851 0.06734 .
lweight 0.6146 0.1961 3.134 0.00232 **
sviinvasion 0.6859 0.2114 3.244 0.00164 **
lcavol:lweight -0.1246 0.1478 -0.843 0.40156
---
Signif. codes: 0 '***' 0.001 '**' 0.01 '*' 0.05 '.' 0.1 ' ' 1
Residual standard error: 0.7179 on 92 degrees of freedom
Multiple R-squared: 0.6293, Adjusted R-squared: 0.6132
F-statistic: 39.05 on 4 and 92 DF, p-value: < 2.2e-16

Interaction between lcavol \(\leftrightarrow\) svi and lweight \(\leftrightarrow\) svi.
The model becomes
\[Y=\beta_0+\beta_vX_v+\beta_wX_w+\beta_sX_s+\beta_{vs}X_vX_s + \beta_{ws}X_wX_s +\epsilon\]
lmVWS_IntVS_WS <- lm(lpsa ~ lcavol + lweight + svi + svi:lcavol + svi:lweight, data = prostate)
summary(lmVWS_IntVS_WS)
Call:
lm(formula = lpsa ~ lcavol + lweight + svi + svi:lcavol + svi:lweight,
data = prostate)
Residuals:
Min 1Q Median 3Q Max
-1.50902 -0.44807 0.06455 0.45657 1.54354
Coefficients:
Estimate Std. Error t value Pr(>|t|)
(Intercept) -0.52642 0.56793 -0.927 0.356422
lcavol 0.54060 0.07821 6.912 6.38e-10 ***
lweight 0.58292 0.15699 3.713 0.000353 ***
sviinvasion 3.43653 1.93954 1.772 0.079771 .
lcavol:sviinvasion 0.13467 0.25550 0.527 0.599410
lweight:sviinvasion -0.82740 0.52224 -1.584 0.116592
---
Signif. codes: 0 '***' 0.001 '**' 0.01 '*' 0.05 '.' 0.1 ' ' 1
Residual standard error: 0.7147 on 91 degrees of freedom
Multiple R-squared: 0.6367, Adjusted R-squared: 0.6167
F-statistic: 31.89 on 5 and 91 DF, p-value: < 2.2e-16
Because \(X_S\) is a dummy variabele we obtain to distinct regression planes:

The total SSTot is again
\[ \text{SSTot} = \sum_{i=1}^n (Y_i - \bar{Y})^2. \]
The residual sum of squares remains similar \[ \text{SSE} = \sum_{i=1}^n (Y_i-\hat{Y}_i)^2. \]
Again the total sum of squares can be decomposed in , \[ \text{SSTot} = \text{SSR} + \text{SSE} , \] with \[ \text{SSR} = \sum_{i=1}^n (\hat{Y}_i-\bar{Y})^2. \]
We have following degrees of freedom and mean sum of squares:
The determination coefficients remains as before, i.e. \[ R^2 = 1-\frac{\text{SSE}}{\text{SSTot}} = \frac{\text{SSR}}{\text{SSTot}} \] and is the fraction of the total variability that can be explained by the regression model.
Teststatistic \(F=\text{MSR}/\text{MSE}\) is under \(H_0:\beta_1=\ldots=\beta_{p-1}=0\) distributed by an F distribution: \(F_{p-1;n-p}\).
Call:
lm(formula = lpsa ~ lcavol + lweight + svi, data = prostate)
Residuals:
Min 1Q Median 3Q Max
-1.72966 -0.45767 0.02814 0.46404 1.57012
Coefficients:
Estimate Std. Error t value Pr(>|t|)
(Intercept) -0.26807 0.54350 -0.493 0.62301
lcavol 0.55164 0.07467 7.388 6.3e-11 ***
lweight 0.50854 0.15017 3.386 0.00104 **
sviinvasion 0.66616 0.20978 3.176 0.00203 **
---
Signif. codes: 0 '***' 0.001 '**' 0.01 '*' 0.05 '.' 0.1 ' ' 1
Residual standard error: 0.7168 on 93 degrees of freedom
Multiple R-squared: 0.6264, Adjusted R-squared: 0.6144
F-statistic: 51.99 on 3 and 93 DF, p-value: < 2.2e-16
Consider 2 models for the predictors \(x_1\) en \(x_2\): \[ Y_i = \beta_0+\beta_1 x_{i1} + \epsilon_i, \] with \(\epsilon_i\text{ iid } N(0,\sigma_1^{2})\), and \[ Y_i = \beta_0+\beta_1 x_{i1}+\beta_2 x_{i2} + \epsilon_i, \] with \(\epsilon_i\text{ iid } N(0,\sigma_2^{2})\).
for the first (gereduceerde) model we have decomposition \[ \text{SSTot} = \text{SSR}_1 + \text{SSE}_1 \] en for the second non-reduced model we have \[ \text{SSTot} = \text{SSR}_2 + \text{SSE}_2 \] (SSTot is of course the same because it only depends on the response and not of the models).
Definition of additional sum of squares The additional sum of squares of predictor \(x_2\) as compared to the model with only \(x_1\) as predictor is given by \[ \text{SSR}_{2\mid 1} = \text{SSE}_1-\text{SSE}_2=\text{SSR}_2-\text{SSR}_1. \]
Note that, \(\text{SSE}_1-\text{SSE}_2=\text{SSR}_2-\text{SSR}_1\) is triviaal is because of the decomposition of the total sum of squares.
The additional sum of squares \(\text{SSR}_{2\mid 1}\) can simply be interpreted as the additional variability that can be explained by adding predictor \(x_2\) to the model with predictor \(x_1\).
With this sum of squares we can further decompose the total sum of squares \[ \text{SSTot} = \text{SSR}_1+ \text{SSR}_{2\mid 1} + \text{SSE}. \] which follows directly from the definition \(\text{SSR}_{2\mid 1}\).
Extension: (\(s<p-1\)) \[ Y_i = \beta_0 + \beta_1 x_{i1} + \cdots + \beta_{s} x_{is} + \epsilon_i \] with \(\epsilon_i\text{ iid }N(0,\sigma_1^{2})\), and (\(s< q\leq p-1\)) \[ Y_i = \beta_0 + \beta_1 x_{i1} + \cdots + \beta_{s} x_{is} + \beta_{s+1} x_{is+1} + \cdots \beta_{q}x_{iq}+ \epsilon_i \] with \(\epsilon_i\text{ iid } N(0,\sigma_2^{2})\).
The additional sum of squares of predictor \(x_{s+1}, \ldots, x_q\) compared to a model with only predictors \(x_1,\ldots, x_{s}\) is given by
\[ \text{SSR}_{s+1, \ldots, q\mid 1,\ldots, s} = \text{SSE}_1-\text{SSE}_2=\text{SSR}_2-\text{SSR}_1. \]
Suppose that \(p-1\) predictors are considered, and suppose the following sequence of models (\(s=2,\ldots, p-1\)) \[ Y_i = \beta_0 + \sum_{j=1}^{s} \beta_j x_{ij} + \epsilon_i \] wuth \(\epsilon_i\text{ iid } N(0,\sigma^{2})\).
We can show for model Model with \(s=p-1\) that \[ \text{SSTot} = \text{SSR}_1 + \text{SSR}_{2\mid 1} + \text{SSR}_{3\mid 1,2} + \cdots + \text{SSR}_{p-1\mid 1,\ldots, p-2} + \text{SSE}, \] with \(\text{SSE}\) the residual sum of squares of the model with all \(p-1\) predictors \[ \text{SSR}_1 + \text{SSR}_{2\mid 1} + \text{SSR}_{3\mid 1,2} + \cdots + \text{SSR}_{p-1\mid 1,\ldots, p-2} = \text{SSR} \] with \(\text{SSR}\) the sum of squares of all \(p-1\) predictors.
Type III sum of squares for predictor \(x_j\) are given by the additional sum of squares \[ \text{SSR}_{j \mid 1,\ldots, j-1,j+1,\ldots, p-1} = \text{SSE}_1-\text{SSE}_2 \]
The type III sum of squares \(\text{SSR}_{j \mid 1,\ldots, j-1,j+1,\ldots, p-1}\) quantify the contribution in the total variance of the outcome explained by \(x_j\) that cannot be explained by the remaining \(p-2\) predictors.
The type III sum of squares has 1 degree of freedom because it involves 1 \(\beta\)-parameter.
For each type III SSR term the mean sum of squares is defined by \(\text{MSR}_{j \mid 1,\ldots, j-1,j+1,\ldots, p-1}=\text{SSR}_{j \mid 1,\ldots, j-1,j+1,\ldots, p-1}/1\).
Teststatistiek \(F=\text{MSR}_{j \mid 1,\ldots, j-1,j+1,\ldots, p-1}/\text{MSE}\) is \(F_{1;n-p}\) distributed under \(H_0:\beta_j=0\).
Anova function from the car package.The p-values are identical to those of two-sided t-tests
Note, however, that all dummies for factors with multiple levels will be taken out of the model at once. So then the type III sum of squares will have as many degrees of freedom as the number of dummies and an omnibus test is performed for the effect of the factor.
Call:
lm(formula = lpsa ~ lcavol + lweight + svi, data = prostate)
Residuals:
Min 1Q Median 3Q Max
-1.72966 -0.45767 0.02814 0.46404 1.57012
Coefficients:
Estimate Std. Error t value Pr(>|t|)
(Intercept) -0.26807 0.54350 -0.493 0.62301
lcavol 0.55164 0.07467 7.388 6.3e-11 ***
lweight 0.50854 0.15017 3.386 0.00104 **
sviinvasion 0.66616 0.20978 3.176 0.00203 **
---
Signif. codes: 0 '***' 0.001 '**' 0.01 '*' 0.05 '.' 0.1 ' ' 1
Residual standard error: 0.7168 on 93 degrees of freedom
Multiple R-squared: 0.6264, Adjusted R-squared: 0.6144
F-statistic: 51.99 on 3 and 93 DF, p-value: < 2.2e-16
Call:
lm(formula = lpsa ~ lcavol + lweight + svi + lcavol:lweight,
data = prostate)
Residuals:
Min 1Q Median 3Q Max
-1.65886 -0.44673 0.02082 0.50244 1.57457
Coefficients:
Estimate Std. Error t value Pr(>|t|)
(Intercept) -0.6430 0.7030 -0.915 0.36278
lcavol 1.0046 0.5427 1.851 0.06734 .
lweight 0.6146 0.1961 3.134 0.00232 **
sviinvasion 0.6859 0.2114 3.244 0.00164 **
lcavol:lweight -0.1246 0.1478 -0.843 0.40156
---
Signif. codes: 0 '***' 0.001 '**' 0.01 '*' 0.05 '.' 0.1 ' ' 1
Residual standard error: 0.7179 on 92 degrees of freedom
Multiple R-squared: 0.6293, Adjusted R-squared: 0.6132
F-statistic: 39.05 on 4 and 92 DF, p-value: < 2.2e-16
Estimates are different from those in the additive model and the standard errors are much higher!
This is caused by the multicollinearity problem.
If 2 predictors are strongly correlated than they share a lot of information.
It is therefore difficult to estimate the individual contribution of each predictor on the outcome.
Least squares estimators become instable.
Standard errors become inflated.
As long as we only do predictions on the basis of the regression model without extrapolating beyond the range of the predictors observed in the sample multicolinearity is not problematic.
But for inference it is problematic.
[,1] [,2] [,3]
[1,] 1.0000000 0.1941283 0.9893127
[2,] 0.1941283 1.0000000 0.2835608
[3,] 0.9893127 0.2835608 1.0000000
For parameter \(j\) in de regression model \[\textrm{VIF}_j=\left(1-R_j^2\right)^{-1}\]

Call:
lm(formula = Body_fat ~ Triceps + Thigh + Midarm, data = bodyfat)
Residuals:
Min 1Q Median 3Q Max
-3.7263 -1.6111 0.3923 1.4656 4.1277
Coefficients:
Estimate Std. Error t value Pr(>|t|)
(Intercept) 117.085 99.782 1.173 0.258
Triceps 4.334 3.016 1.437 0.170
Thigh -2.857 2.582 -1.106 0.285
Midarm -2.186 1.595 -1.370 0.190
Residual standard error: 2.48 on 16 degrees of freedom
Multiple R-squared: 0.8014, Adjusted R-squared: 0.7641
F-statistic: 21.52 on 3 and 16 DF, p-value: 7.343e-06
Triceps Thigh Midarm
708.8429 564.3434 104.6060
Call:
lm(formula = Midarm ~ Triceps + Thigh, data = bodyfat)
Residuals:
Min 1Q Median 3Q Max
-0.58200 -0.30625 0.02592 0.29526 0.56102
Coefficients:
Estimate Std. Error t value Pr(>|t|)
(Intercept) 62.33083 1.23934 50.29 <2e-16 ***
Triceps 1.88089 0.04498 41.82 <2e-16 ***
Thigh -1.60850 0.04316 -37.26 <2e-16 ***
---
Signif. codes: 0 '***' 0.001 '**' 0.01 '*' 0.05 '.' 0.1 ' ' 1
Residual standard error: 0.377 on 17 degrees of freedom
Multiple R-squared: 0.9904, Adjusted R-squared: 0.9893
F-statistic: 880.7 on 2 and 17 DF, p-value: < 2.2e-16
We evaluate the VIF in the prostate cancer example for the additive model and the model with interactie.
lcavol lweight svi
1.447048 1.039188 1.409189
lcavol lweight svi lcavol:lweight
76.193815 1.767121 1.426646 80.611657
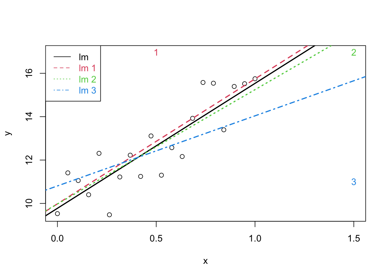
set.seed(112358)
nobs <- 20
sdy <- 1
x <- seq(0, 1, length = nobs)
y <- 10 + 5 * x + rnorm(nobs, sd = sdy)
x1 <- c(x, 0.5)
y1 <- c(y, 10 + 5 * 1.5 + rnorm(1, sd = sdy))
x2 <- c(x, 1.5)
y2 <- c(y, y1[21])
x3 <- c(x, 1.5)
y3 <- c(y, 11)
plot(x, y, xlim = range(c(x1, x2, x3)), ylim = range(c(y1, y2, y3)))
points(c(x1[21], x2[21], x3[21]), c(y1[21], y2[21], y3[21]), pch = as.character(1:3), col = 2:4)
abline(lm(y ~ x), lwd = 2)
abline(lm(y1 ~ x1), col = 2, lty = 2, lwd = 2)
abline(lm(y2 ~ x2), col = 3, lty = 3, lwd = 2)
abline(lm(y3 ~ x3), col = 4, lty = 4, lwd = 2)
legend("topleft", col = 1:4, lty = 1:4, legend = paste("lm", c("", as.character(1:3))), text.col = 1:4)
It is not desirable that a single observation largely influences the result of a linear regression analysis
Diagnostics allow us to detect extreme observations.
Studentized residuals to spot outliers
Leverage to spot observations with extreem covariate pattern
A statistics to assess the influence the effect of a single observation on the regression analysis
Cook’s distance for observation i is diagnostic measure for this particular observation on all all predictions or on all estimated parameters. \[D_i=\frac{\sum_{j=1}^n(\hat{Y}_j-\hat{Y}_{j(i)})^2}{p\textrm{MSE}}\]
Observation \(i\) has a large influence on the regression parameters and predictions if the Cook’s distance \(D_i\) is large.
Extreme Cook’s distance if it is larger than the 50% quantile of an \(F_{p+1,n-(p+1)}\)-distribution.




Suppose that researchers want to assess the association between age and bloodpressure for American children.
Possibly this association will differ between boys and girls.
They want to assess following hypotheses:
We fit a model for the average systolic blood pressure (BPSysAve) using age (in months), gender and the interaction between age and gender for children between 6 and 18 years from the NHANES study.
library(NHANES)
bpData <- NHANES %>%
filter(
Age >=6 &
Age <= 18 &
!is.na(BPSysAve) &
!is.na(AgeMonths)
)
mBp1 <- lm(BPSysAve ~ AgeMonths * Gender, bpData)
par(mfrow = c(2, 2))
plot(mBp1)
Assumptions?
Call:
lm(formula = BPSysAve ~ AgeMonths * Gender, data = bpData)
Residuals:
Min 1Q Median 3Q Max
-30.487 -5.871 -0.890 5.265 33.882
Coefficients:
Estimate Std. Error t value Pr(>|t|)
(Intercept) 92.90682 2.29792 40.431 < 2e-16 ***
AgeMonths 0.05943 0.01371 4.336 1.66e-05 ***
Gendermale -11.35031 3.25237 -3.490 0.000514 ***
AgeMonths:Gendermale 0.09294 0.01943 4.783 2.11e-06 ***
---
Signif. codes: 0 '***' 0.001 '**' 0.01 '*' 0.05 '.' 0.1 ' ' 1
Residual standard error: 9.65 on 699 degrees of freedom
Multiple R-squared: 0.1939, Adjusted R-squared: 0.1904
F-statistic: 56.04 on 3 and 699 DF, p-value: < 2.2e-16
The research questions translate to following nullhypotheses:
Association between blood pressure and age for girls? \[H_0: \beta_\text{AgeMonths} = 0 \text{ vs } H_1: \beta_\text{AgeMonths} \neq 0 \]
Association between blood pressure and age for boys? \[H_0: \beta_\text{AgeMonths} + \beta_\text{AgeMonths:Gendermale} = 0 \text{ vs } H_1: \beta_\text{AgeMonths} + \beta_\text{AgeMonths:Gendermale} \neq 0 \]
Is the association between blood pressure and age different for girls and boys? \[H_0: \beta_\text{AgeMonths:Gendermale} = 0 \text{ vs } H_1: \beta_\text{AgeMonths:Gendermale} \neq 0 \]
We can again use an Anova approach.
\[ H_0: \beta_\text{AgeMonths} = \beta_\text{AgeMonths:Gendermale} = 0 \]
There is an extremely significant association between the systolic blood pressure and Age (\(p << 0.001\)).
For the posthoc tests we will again build upon the multcomp package.
library(multcomp)
bpPosthoc <- glht(mBp1, linfct = c(
"AgeMonths = 0",
"AgeMonths + AgeMonths:Gendermale = 0",
"AgeMonths:Gendermale = 0"
))
bpPosthoc %>% summary()
Simultaneous Tests for General Linear Hypotheses
Fit: lm(formula = BPSysAve ~ AgeMonths * Gender, data = bpData)
Linear Hypotheses:
Estimate Std. Error t value Pr(>|t|)
AgeMonths == 0 0.05943 0.01371 4.336 3.69e-05 ***
AgeMonths + AgeMonths:Gendermale == 0 0.15237 0.01377 11.061 < 1e-05 ***
AgeMonths:Gendermale == 0 0.09294 0.01943 4.783 < 1e-05 ***
---
Signif. codes: 0 '***' 0.001 '**' 0.01 '*' 0.05 '.' 0.1 ' ' 1
(Adjusted p values reported -- single-step method)
Simultaneous Confidence Intervals
Fit: lm(formula = BPSysAve ~ AgeMonths * Gender, data = bpData)
Quantile = 2.3215
95% family-wise confidence level
Linear Hypotheses:
Estimate lwr upr
AgeMonths == 0 0.05943 0.02761 0.09124
AgeMonths + AgeMonths:Gendermale == 0 0.15237 0.12039 0.18434
AgeMonths:Gendermale == 0 0.09294 0.04783 0.13805
Note that the glht function allows us to define the contrasts by explicitely defining the nullhypotheses using the names of the model parameters.
We can conclude that the association between age and blood pressure is extremely significant (p << 0.001).
The blood pressure for girls that differ in age is on average 0.059 mm Hg higher per month of age difference for the eldest girl (p << 0.001, 95% CI [0.028, 0.091].
The blood pressure for boys that differ in age is on average 0.152 mm Hg higher per month of age difference for the eldest boy (p << 0.001, 95% CI [0.12, 0.184].
The average blood pressure difference between subjects that differ in age is on average 0.093 mm Hg/month higher for boys than for girls (p << 0.001, 95% CI [0.048, 0.138]).