
A histogram is very useful to provide an estimate of the distribution of the data without making distributional assumptions.
For a histogram you typically require to have enough observations. A sample size of 30 observations is a bare minimum to construct a histogram.
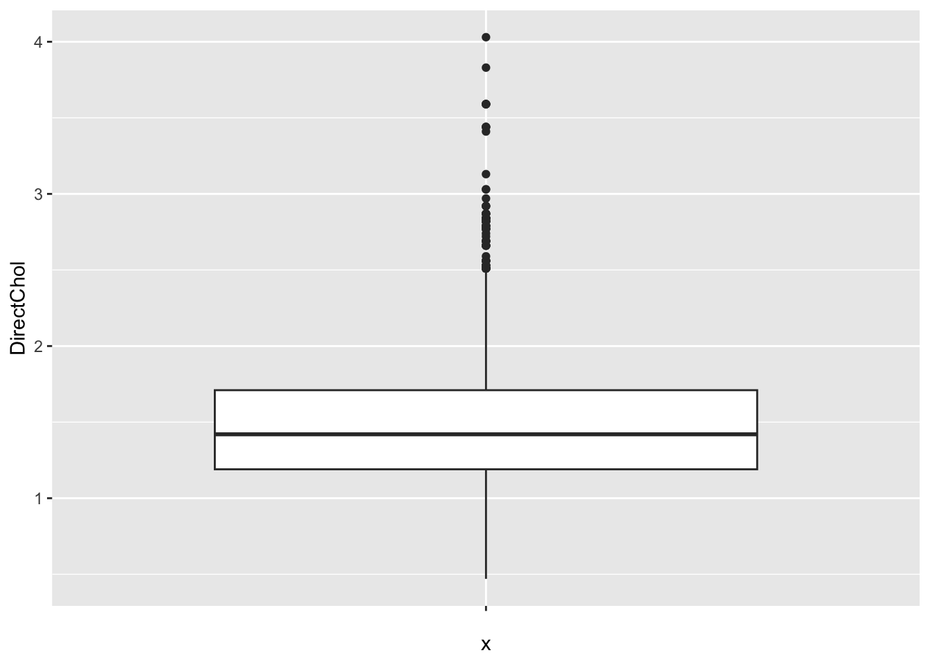
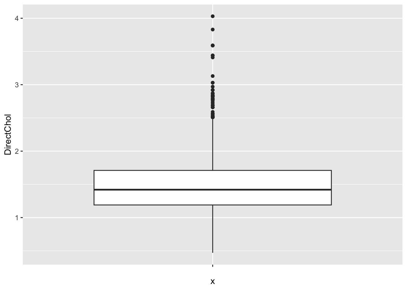
NHANES %>%
filter(Gender == "female") %>%
ggplot(aes(x = DirectChol)) +
geom_histogram(aes(y = ..density.., fill = ..count..), bins = 30) +
geom_density(aes(y = ..density..))
NHANES %>% filter(Gender=="female")
ggplot(aes(x=DirectChol)) +
Equal bins for interpretation, the number of bins can be selected with the bins argument to the geom_hist.
Relative frequenties to enable visual comparison between histograms.
geom_histogram(aes(y=..density.., fill=..count..)) +
geom_density(aes(y=..density..))

With ggplot we always have to define an x variable if we make a boxplot. If we use a string then all data is considered to originate from one category and one boxplot is constructed.

So we can add a boxplot to a ggplot figure by using the geom_boxplot() function.
If the dataset is small to moderate in size we can also add the raw data to the plot with the geom_point() function and the position="jitter" argument. Note, that we then also set the outlier.shape argument in the geom_boxplot function on NA so that the outliers are not plotted twice.
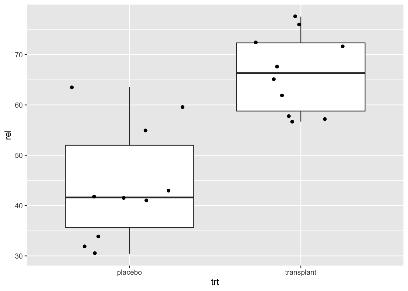
Here, we will plot again the relative abundances of Staphylococcus from the armpit transplant experiment.
ap %>%
ggplot(aes(x = trt, y = rel)) +
geom_boxplot(outlier.shape = NA) +
geom_point(position = "jitter")
When we specify a factor variable for x, we get a boxplot for each treatment group.

\[\sqrt[n]{\prod\limits_{i=1}^n x_i} = \exp\left\{\frac{1}{n} \sum_{i=1}^n \log(x_i)\right\}\]
Geometric mean is closer to the median then the mean
log-transformation removes skewness
Often a more useful measure for the central location than median:
\[\log (B) - \log(A)= \log(\frac{B}{A})=\log(FC_\text{B vs A})\]
In Genomics often the \(log_2\) transformation is used. A difference of 1 corresponds to a \(FC=2\).
logSummary <-
NHANES %>%
filter(Gender == "female") %>%
summarize(logMean = mean(DirectChol %>% log2(), na.rm = TRUE), sd = sd(DirectChol %>% log2(), na.rm = TRUE), mean = mean(DirectChol, na.rm = TRUE), median = median(DirectChol, na.rm = TRUE)) %>%
mutate(geoMean = 2^logMean)
NHANES %>%
filter(Gender == "female") %>%
ggplot(aes(x = DirectChol %>% log2())) +
geom_histogram(aes(y = ..density.., fill = ..count..), bins = 30) +
geom_density(aes(y = ..density..)) +
stat_function(fun = dnorm, color = "red", args = list(mean = logSummary$logMean, sd = logSummary$sd))
The variability around the central value is crucial:
The response varies between and within individuals and is the reason why we need statistics.
Crucial to describe both the central location and the variability.
Which part of the variability can we explain (e.g. with characteristics treatment, age, etc,) and which part is unexplained?
Sample variance: \[ s_X^2= \sum\limits_{i=1}^n \frac{(X-\bar X)^2}{n-1} \]
Interpretation is often difficult because it is in another unit than the measurements.
Standard deviation: \[ s_X= \sqrt{s_x^2} \]
Very useful for Normal distributed observations:
These intervals are referred to as 68% en 95% reference-intervals.
If the data are not Normally distributed, reference intervals are not valid.
For skewed data the standard deviation is not useful

Biological and chemical data are often Normally distributed upon transformation.
If this is the case we can get a lot of insight in the data using just two descriptive statistics: mean \(\mu\) and standard deviation \(\sigma\).
If your analysis builds upon the assumption that the data are Normally distributed, it has to be verified.
We use QQ-plots or quantile-quantile plots.
Observed quantiles from the observations in the sample are plotted against quantiles from the Normal distribution.
If the data are Normally distributed both quantiles have to be in line.
Dots in the plot are expected on a straight line.
Systematic deviations of the straight line indicate that the data are not Normally distributed.
Note, that we will always observe some random deviations from the straight line in the plot because of random biological variability, which is not indicative for deviations from Normality.
So it is important to train yourself to learn to distinguish systematic from random deviations.
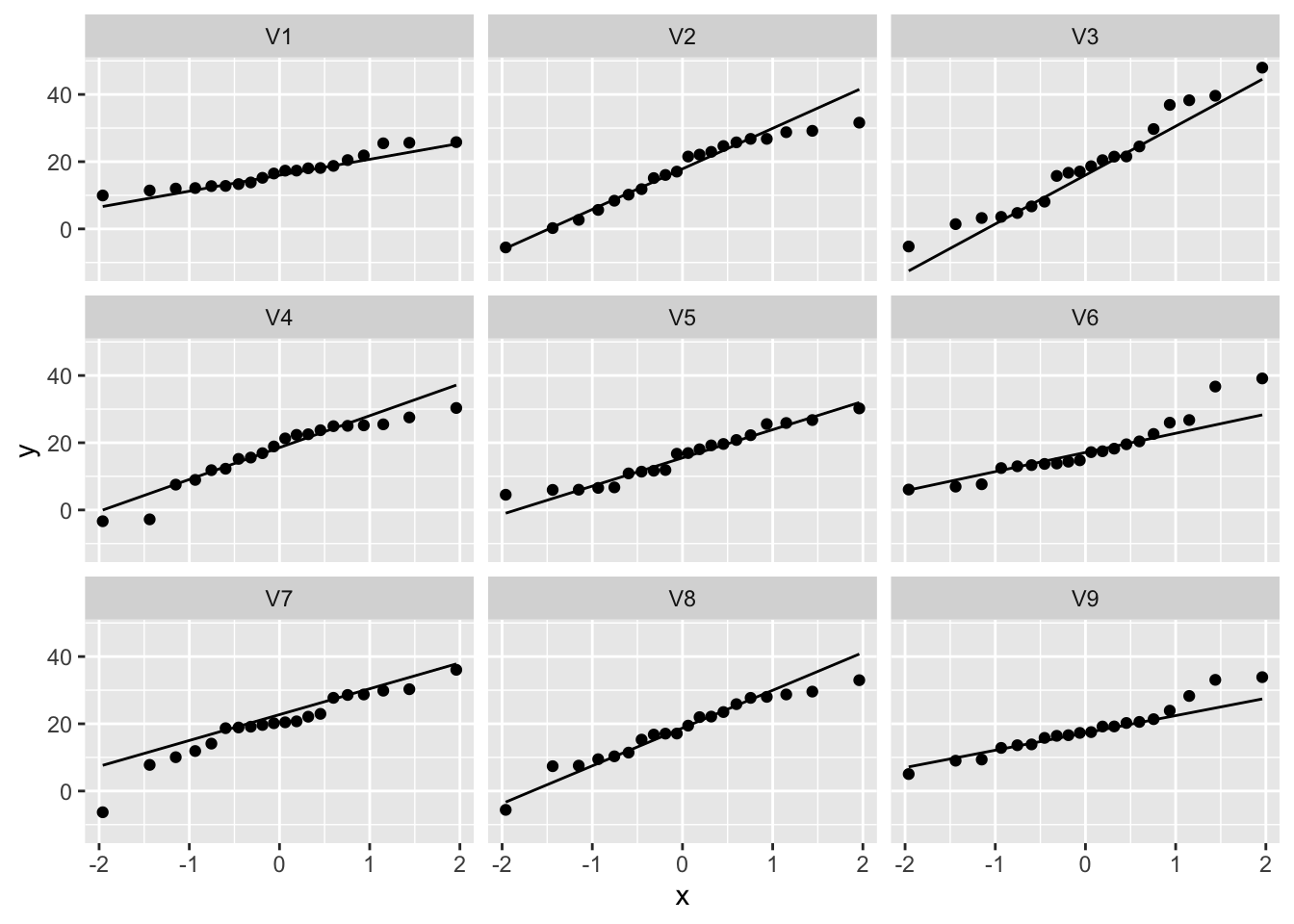
We will first simulate data from the Normal distribution to show how the plots look like for data that is meeting the assumptions.
We will simulate data from 9 samples with a mean of 18 and standard deviation of 9.
n <- 20
mu <- 18
sigma <- 9
nSamp <- 9
normSim <- matrix(rnorm(n * nSamp, mean = mu, sd = sigma), nrow = n) %>% as.data.frame()
normSim %>%
gather(samp, data) %>%
ggplot(aes(x = data)) +
geom_histogram(aes(y = ..density.., fill = ..count..), bins = 30) +
geom_density(aes(y = ..density..)) +
facet_wrap(~samp)
normSim %>%
gather(samp, data) %>%
ggplot(aes(sample = data)) +
geom_qq() +
geom_qq_line() +
facet_wrap(~samp)
So even for Normal data we observe some deviations due to sampling variability!
NHANES %>%
filter(Gender == "female" & !is.na(BMI)) %>%
ggplot(aes(x = BMI)) +
geom_histogram(aes(y = ..density.., fill = ..count..)) +
xlab("BMI") +
ggtitle("All females in study") +
geom_density(aes(y = ..density..))
NHANES %>%
filter(Gender == "female" & !is.na(BMI)) %>%
ggplot(aes(sample = BMI)) +
geom_qq() +
geom_qq_line()
The QQ-plot shows that the quantiles of the data
We can clearly see that the data are right-skewed.
NHANES %>%
filter(Age > 25 & Gender == "female") %>%
ggplot(aes(x = Height, y = Weight)) +
geom_point()
We observe an association between Weight and Height, but we also observe that the Weights tend to be right-skewed.
Lets look at the univariate distributions first.
NHANES %>%
filter(Age > 25 & Gender == "female") %>%
ggplot(aes(x = Height)) +
geom_histogram(aes(y = ..density.., fill = ..count..)) +
xlab("Height") +
ggtitle("All females in study") +
geom_density(aes(y = ..density..))
NHANES %>%
filter(Age > 25 & Gender == "female") %>%
ggplot(aes(sample = Height)) +
geom_qq() +
geom_qq_line()
NHANES %>%
filter(Age > 25 & Gender == "female") %>%
ggplot(aes(x = Weight)) +
geom_histogram(aes(y = ..density.., fill = ..count..)) +
xlab("Weight") +
ggtitle("All females in study") +
geom_density(aes(y = ..density..))
NHANES %>%
filter(Age > 25 & Gender == "female") %>%
ggplot(aes(sample = Weight)) +
geom_qq() +
geom_qq_line()
The weights are indeed skewed!
Upon log transformaton the Weights are less skewed, but still not Normally distributed.
NHANES %>%
filter(Age > 25 & Gender == "female") %>%
ggplot(aes(x = Weight %>% log2())) +
geom_histogram(aes(y = ..density.., fill = ..count..)) +
xlab("Weight (log2)") +
ggtitle("All females in study") +
geom_density(aes(y = ..density..))
NHANES %>%
filter(Age > 25 & Gender == "female") %>%
ggplot(aes(sample = Weight %>% log2())) +
geom_qq() +
geom_qq_line()
Skewness is still there but is reduced already.
NHANES %>%
filter(Age > 25 & Gender == "female") %>%
ggplot(aes(x = Height, y = Weight %>% log2())) +
ylab("Weight (log2)") +
geom_point()
\[\mbox{Covar}(X,Y)=E[(X-E[X])(Y-E[Y])]\]
\[\mbox{Cor}(X,Y)=\frac{E[(X-E[X])(Y-E[Y])]}{\sqrt{E[(X-E[X])^2}\sqrt{E[(Y-E[Y])^2}}\]
\[\mbox{Cor}(X,Y)=\frac{\sum_{i=1}^{n}(X_{i}-\bar{X})(Y_{i}-\bar{Y})}{(n-1)s_{X}s_{Y}} \]
Positive correlation: \(x \ \nearrow \ \Rightarrow \ y \ \nearrow\)
Negative correlation: \(x \ \nearrow \ \Rightarrow \ y \ \searrow\)
Correlation always between -1 en 1
means <- NHANES %>%
filter(Age > 25 & Gender == "female") %>%
select(Weight, Height) %>%
mutate(log2Weight = Weight %>% log2()) %>%
apply(., 2, mean, na.rm = TRUE)
ranges <- NHANES %>%
filter(Age > 25 & Gender == "female") %>%
select(Weight, Height) %>%
mutate(log2Weight = Weight %>% log2()) %>%
apply(., 2, range, na.rm = TRUE)
NHANES %>%
filter(Age > 25 & Gender == "female") %>%
ggplot(aes(x = Height, y = Weight %>% log2())) +
ylab("Weight (log2)") +
geom_point() +
geom_hline(yintercept = means["log2Weight"], color = "red") +
geom_vline(xintercept = means["Height"], color = "red") +
annotate(
geom = "text",
x = c(ranges[1, "Height"], ranges[1, "Height"], ranges[2, "Height"], ranges[2, "Height"]),
y = c(ranges[1, "log2Weight"], ranges[2, "log2Weight"], ranges[1, "log2Weight"], ranges[2, "log2Weight"]),
label = c("+", "-", "-", "+"), color = "red", size = 10
)
NHANES %>%
filter(Age > 25 & Gender == "female") %>%
ggplot(aes(x = Height, y = Weight)) +
ylab("Weight (log2)") +
geom_point() +
geom_hline(yintercept = means["Weight"], color = "red") +
geom_vline(xintercept = means["Height"], color = "red") +
annotate(
geom = "text",
x = c(ranges[1, "Height"], ranges[1, "Height"], ranges[2, "Height"], ranges[2, "Height"]),
y = c(ranges[1, "Weight"], ranges[2, "Weight"], ranges[1, "Weight"], ranges[2, "Weight"]),
label = c("+", "-", "-", "+"), color = "red", size = 10
)
NHANES %>%
filter(Age > 25 & Gender == "female") %>%
select(Weight, Height) %>%
mutate(log2Weight = Weight %>% log2()) %>%
na.exclude() %>%
cor() Weight Height log2Weight
Weight 1.0000000 0.3029834 0.9812646
Height 0.3029834 1.0000000 0.3240824
log2Weight 0.9812646 0.3240824 1.0000000
Illustration with simulated data that has one outlier.
set.seed(100)
x <- rnorm(20)
simData <- data.frame(x = x, y = x * 2 + rnorm(length(x)))
simData %>% ggplot(aes(x = x, y = y)) +
geom_point() +
ggtitle(paste("cor =", cor(simData[, 1], simData[, 2]) %>% round(., 2)))
outlier <- rbind(simData, c(2, -4))
outlier %>% ggplot(aes(x = x, y = y)) +
geom_point() +
ggtitle(paste("cor =", cor(outlier[, 1], outlier[, 2]) %>% round(., 2)))
Note, that the Pearson correlation only captures linear association!
x <- rnorm(100)
quadratic <- data.frame(x = x, y = x^2 + rnorm(length(x)))
quadratic %>% ggplot(aes(x = x, y = y)) +
geom_point() +
ggtitle(paste("cor =", cor(quadratic[, 1], quadratic[, 2]) %>% round(., 2))) +
geom_hline(yintercept = mean(quadratic[, 2]), col = "red") +
geom_vline(xintercept = mean(quadratic[, 1]), col = "red")
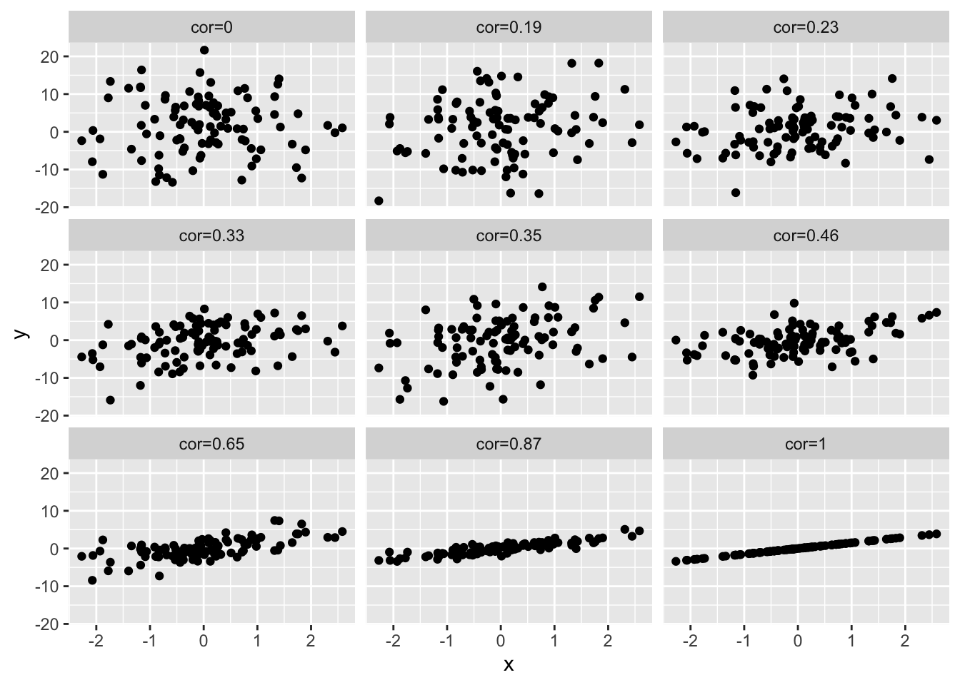
set.seed(100)
x <- rnorm(100)
simData2 <- cbind(x, 1.5 * x, sapply(1:7, function(sd, x) 1.5 * x + rnorm(length(x), sd = sd), x = x), rnorm(length(x), sd = 7))
colnames(simData2)[-1] <- paste("cor", round(cor(simData2)[1, -1], 2), sep = "=")
simData2 %>%
as.data.frame() %>%
gather(cor, y, -x) %>%
ggplot(aes(x = x, y = y)) +
geom_point() +
facet_wrap(~cor)
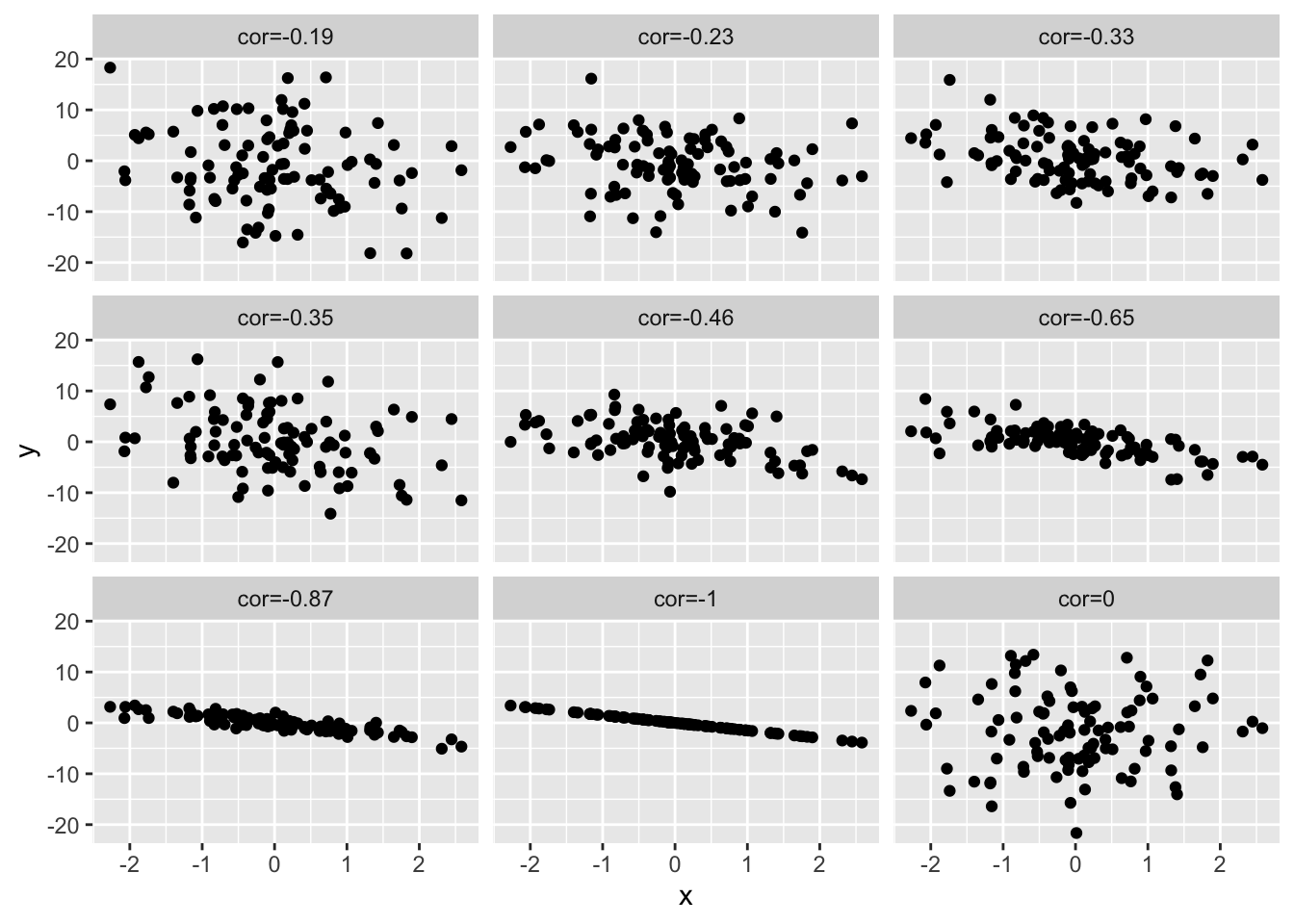
simData3 <- simData2
simData3[, -1] <- -simData2[, -1]
colnames(simData3)[-1] <- paste("cor", round(cor(simData3)[1, -1], 2), sep = "=")
simData3 %>%
as.data.frame() %>%
gather(cor, y, -x) %>%
ggplot(aes(x = x, y = y)) +
geom_point() +
facet_wrap(~cor)
The Spearman correlation is the Pearson correlation after transforming the data to ranks.
x y
x 1.0000000 0.4682823
y 0.4682823 1.0000000
x y
x 1.0000000 0.6571429
y 0.6571429 1.0000000
Spearman correlation is less sensitive to outliers.
Pearson correlation on ranks
x y
x 1.0000000 0.6571429
y 0.6571429 1.0000000
NHANES %>%
filter(Age > 25 & Gender == "female") %>%
select(Weight, Height) %>%
mutate(log2Weight = Weight %>% log2()) %>%
na.exclude() %>%
cor(method = "spearman") Weight Height log2Weight
Weight 1.0000000 0.3039481 1.0000000
Height 0.3039481 1.0000000 0.3039481
log2Weight 1.0000000 0.3039481 1.0000000