The NHANES dataset
The National Health and Nutrition Examination Survey (NHANES) contains data
that has been collected since 1960. For this tutorial, we will make use of
the data that were collected between 2009 and 2012, for 10.000 U.S. civilians.
The dataset contains a large number of physical, demographic, nutritional and
life-style-related parameters.
Goal
In the NHANES dataset, one of the columns is named HealthGen.
HealthGen is a self-reported rating of a participant’s health
in general terms. HealthGen is reported for participants aged 12
years or older. It is a factor with the following levels:
Excellent, Vgood, Good, Fair, or Poor.
We want to test whether or not the mean systolic blood pressure
value (take column BPSys1) is equal between the five self-reported
health categories. To this end, we will use an ANOVA analysis
(if the required assumptions are met).
Load the required libraries
Data import
NHANES <- read_csv("https://raw.githubusercontent.com/statOmics/PSLSData/main/NHANES.csv")
glimpse(NHANES[1:10])
## Rows: 10,000
## Columns: 10
## $ ID <dbl> 51624, 51624, 51624, 51625, 51630, 51638, 51646, 51647, …
## $ SurveyYr <chr> "2009_10", "2009_10", "2009_10", "2009_10", "2009_10", "…
## $ Gender <chr> "male", "male", "male", "male", "female", "male", "male"…
## $ Age <dbl> 34, 34, 34, 4, 49, 9, 8, 45, 45, 45, 66, 58, 54, 10, 58,…
## $ AgeDecade <chr> "30-39", "30-39", "30-39", "0-9", "40-49", "0-9", "0-9",…
## $ AgeMonths <dbl> 409, 409, 409, 49, 596, 115, 101, 541, 541, 541, 795, 70…
## $ Race1 <chr> "White", "White", "White", "Other", "White", "White", "W…
## $ Race3 <chr> NA, NA, NA, NA, NA, NA, NA, NA, NA, NA, NA, NA, NA, NA, …
## $ Education <chr> "High School", "High School", "High School", NA, "Some C…
## $ MaritalStatus <chr> "Married", "Married", "Married", NA, "LivePartner", NA, …
Data Exploration
NHANES %>%
ggplot(aes(x = HealthGen, y = BPSys1, fill = HealthGen)) +
scale_fill_brewer(palette = "RdGy") +
theme_bw() +
geom_boxplot(outlier.shape = NA) +
# geom_jitter(width = 0.2,size=0.01) + ## omitted as it makes the plot messy
ggtitle("Boxplot of the systolic bloodpressure for each health category") +
ylab("Systolic blood pressure (mmHg)") +
stat_summary(
fun = mean, geom = "point",
shape = 5, size = 3, color = "black",
)
## Warning: Removed 1763 rows containing non-finite outside the scale range
## (`stat_boxplot()`).
## Warning: Removed 1763 rows containing non-finite outside the scale range
## (`stat_summary()`).

This plot is not ideal; it would be far more intuitive if
the health categories were ordered properly (i.e., Poor –> excellent).
In addition, we observe a sixth “category” of NA values.
To get a more informative and intuitive visualization, you can:
- Filter out subjects with NA values for
HealthGen or BPSys1
- Set
HealthGen to a factor and relevel it to Poor –> Excellent
Hint: The second task can be achieved by using the mutate,
as.factor and fct_relevel functions.
NHANES <- NHANES %>%
filter(!is.na(HealthGen), !is.na(BPSys1)) %>%
mutate(HealthGen = as.factor(HealthGen)) %>%
mutate(HealthGen = fct_relevel(HealthGen, c("Poor", "Fair", "Good", "Vgood", "Excellent")))
NHANES %>%
ggplot(aes(x = HealthGen, y = BPSys1, fill = HealthGen)) +
scale_fill_brewer(palette = "RdGy") +
theme_bw() +
geom_boxplot(outlier.shape = NA) +
ggtitle("Boxplot of the systolic bloodpressure for each health category") +
ylab("Systolic blood pressure (mmHg)") +
stat_summary(
fun = mean, geom = "point",
shape = 5, size = 3, color = "black",
)

ANOVA
To study if the observed difference between the
average systolic blood pressure values of the different health groups
are significant, we may perform an ANOVA.
Check the assumptions for ANOVA
Before we may proceed with the analysis, we must make sure that all
assumptions for ANOVA are met. ANOVA has three assumptions:
- The observations are independent of each other (in all groups)
- The data (BPSys1) must be normally distributed (in all groups)
- The variability within all groups is similar
Assumption of independence
The first assumption is met; there shoud be no specific pattterns of dependence.
Assumption of normality
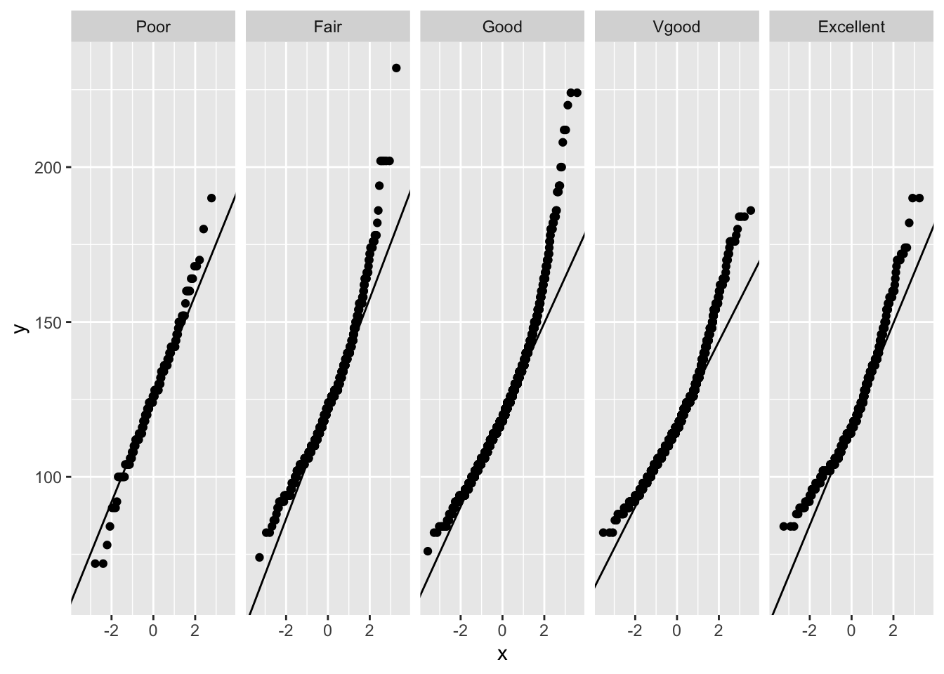
For the second assumption, we must check normality in each group.
NHANES %>%
ggplot(aes(sample = BPSys1)) +
geom_qq() +
geom_qq_line() +
facet_grid(~HealthGen)

The data does not appear to be normally distributed for
each group. It seems to have a heavy right tail. We can
perform a log transformation on the data.
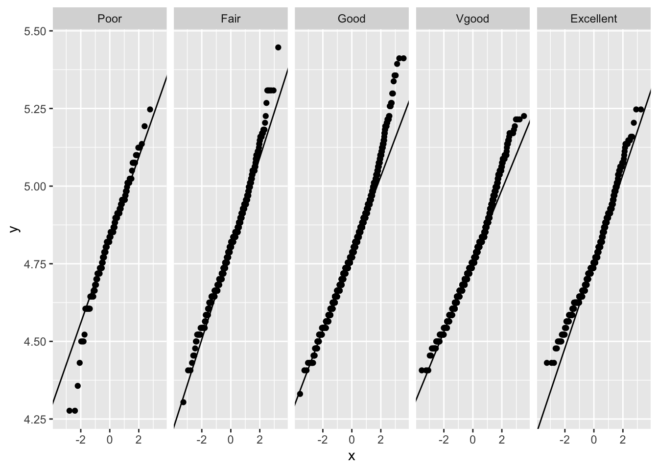
NHANES %>%
mutate(BPSys1_log = log(BPSys1)) %>%
ggplot(aes(sample = BPSys1_log)) +
geom_qq() +
geom_qq_line() +
facet_grid(~HealthGen)

While the log transformation improved the distributions somewhat,
the data still does not appear to be normally distributed for
each group. However, we do have a very large number of
observations per group:
## Count the number of observations per treatment
NHANES %>%
count(HealthGen)
As such, we may rely on the cental limit theorem.
Remember, the cental limit theorem that when the number
of observations is sufficiently large (i.e. >100), we
will assume that the distribution of the sample mean will
approximate a normal distribution, even if the underlying
data is not normally distributed.
ANOVA model
fit <- lm(log(BPSys1) ~ HealthGen, NHANES)
fit_anova <- anova(fit)
fit_anova
print(paste("Not-rounded p-value:", fit_anova$`Pr(>F)`[1]))
## [1] "Not-rounded p-value: 2.99356182478527e-21"
The p-value of the ANOVA analysis is extremely significant
(p-value = 2.994e-21),
so we reject the null hypothesis that the mean
systolic blood pressure is equal for the different health groups.
We can say that the mean systolic blood pressure is significantly different
between at least two health groups on the 5% significance level.
Based on this analysis, we do not yet know between which particular
bird types there is a significant difference. To study this, we will
perfrom the Tuckey post-hoc analysis.
Post-hoc analysis
library(multcomp, quietly = TRUE)
mcp <- glht(fit, linfct = mcp(HealthGen = "Tukey"))
summary(mcp)
##
## Simultaneous Tests for General Linear Hypotheses
##
## Multiple Comparisons of Means: Tukey Contrasts
##
##
## Fit: lm(formula = log(BPSys1) ~ HealthGen, data = NHANES)
##
## Linear Hypotheses:
## Estimate Std. Error t value Pr(>|t|)
## Fair - Poor == 0 -0.015828 0.010971 -1.443 0.57592
## Good - Poor == 0 -0.036762 0.010351 -3.551 0.00311 **
## Vgood - Poor == 0 -0.059415 0.010410 -5.708 < 0.001 ***
## Excellent - Poor == 0 -0.055476 0.011062 -5.015 < 0.001 ***
## Good - Fair == 0 -0.020934 0.005139 -4.074 < 0.001 ***
## Vgood - Fair == 0 -0.043587 0.005256 -8.293 < 0.001 ***
## Excellent - Fair == 0 -0.039648 0.006452 -6.145 < 0.001 ***
## Vgood - Good == 0 -0.022653 0.003797 -5.966 < 0.001 ***
## Excellent - Good == 0 -0.018714 0.005331 -3.511 0.00355 **
## Excellent - Vgood == 0 0.003938 0.005444 0.723 0.94608
## ---
## Signif. codes: 0 '***' 0.001 '**' 0.01 '*' 0.05 '.' 0.1 ' ' 1
## (Adjusted p values reported -- single-step method)
##
## Simultaneous Confidence Intervals
##
## Multiple Comparisons of Means: Tukey Contrasts
##
##
## Fit: lm(formula = log(BPSys1) ~ HealthGen, data = NHANES)
##
## Quantile = 2.6835
## 95% family-wise confidence level
##
##
## Linear Hypotheses:
## Estimate lwr upr
## Fair - Poor == 0 -0.015828 -0.045268 0.013612
## Good - Poor == 0 -0.036762 -0.064539 -0.008984
## Vgood - Poor == 0 -0.059415 -0.087349 -0.031480
## Excellent - Poor == 0 -0.055476 -0.085161 -0.025792
## Good - Fair == 0 -0.020934 -0.034724 -0.007144
## Vgood - Fair == 0 -0.043587 -0.057691 -0.029483
## Excellent - Fair == 0 -0.039648 -0.056962 -0.022335
## Vgood - Good == 0 -0.022653 -0.032842 -0.012464
## Excellent - Good == 0 -0.018714 -0.033020 -0.004409
## Excellent - Vgood == 0 0.003938 -0.010670 0.018546
Conclusion
We have found an extremely significant dependence (p-value = 2.994e-21),
between the mean systolic blood pressure and the health group
on the global 5% significance level.
The mean logarithm of systolic blood pressure in the self-reported health
category Poor is significantly higher as compared three other groups:
- the
Good group (adjusted p-value = < 0.001, mean difference = -0.036762 mmHg, 95% CI [-0.034725; -0.007142])
- the
Vgood group (adjusted p-value = < 0.001, mean difference = -0.059415 mmHg, 95% CI [-0.087352; -0.031477])
- the
Excellent group (adjusted p-value = < 0.001, mean difference = -0.059415 mmHg, 95% CI [-0.085164; -0.025789])
The mean logarithm of systolic blood pressure in the self-reported health
category Fair is significantly higher as compared three other groups:
- the
Good group (adjusted p-value = 0.00317, mean difference = -0.020934 mmHg, 95% CI [-0.064542; -0.008982])
- the
Vgood group (adjusted p-value = < 0.001, mean difference = -0.043587 mmHg, 95% CI [-0.057692; -0.029481])
- the
Excellent group (adjusted p-value = < 0.001, mean difference = -0.039648 mmHg, 95% CI [-0.056963; -0.022333])
The mean logarithm of systolic blood pressure in the self-reported health
category Good is significantly higher as compared two other groups:
- the
Vgood group (adjusted p-value = < 0.001, mean difference = -0.022653 mmHg, 95% CI [-0.032843; -0.012463])
- the
Excellent group (adjusted p-value = 0.00362, mean difference = -0.018714 mmHg, 95% CI [-0.033021; -0.004408])
We do not find enough evidence to claim a difference in systolic
blood pressure levels between the other groups.
Note that in order to interpret the outcomes on the original scale,
we should backtransform the outcomes with the exp() functions
(interpretation on the geometric mean).
LS0tCnRpdGxlOiAiVHV0b3JpYWwgNy4zOiBBTk9WQSBpbiB0aGUgTkhBTkVTIGRhdGFzZXQiCgotLS0KCiMgVGhlIE5IQU5FUyBkYXRhc2V0CgpUaGUgTmF0aW9uYWwgSGVhbHRoIGFuZCBOdXRyaXRpb24gRXhhbWluYXRpb24gU3VydmV5IChOSEFORVMpIGNvbnRhaW5zIGRhdGEKdGhhdCBoYXMgYmVlbiBjb2xsZWN0ZWQgc2luY2UgMTk2MC4gRm9yIHRoaXMgdHV0b3JpYWwsIHdlIHdpbGwgbWFrZSB1c2Ugb2YKdGhlIGRhdGEgdGhhdCB3ZXJlIGNvbGxlY3RlZCBiZXR3ZWVuIDIwMDkgYW5kIDIwMTIsIGZvciAxMC4wMDAgVS5TLiBjaXZpbGlhbnMuClRoZSBkYXRhc2V0IGNvbnRhaW5zIGEgbGFyZ2UgbnVtYmVyIG9mIHBoeXNpY2FsLCBkZW1vZ3JhcGhpYywgbnV0cml0aW9uYWwgYW5kCmxpZmUtc3R5bGUtcmVsYXRlZCBwYXJhbWV0ZXJzLgoKIyBHb2FsCgpJbiB0aGUgTkhBTkVTIGRhdGFzZXQsIG9uZSBvZiB0aGUgY29sdW1ucyBpcyBuYW1lZCBgSGVhbHRoR2VuYC4KSGVhbHRoR2VuIGlzIGEgc2VsZi1yZXBvcnRlZCByYXRpbmcgb2YgYSBwYXJ0aWNpcGFudOKAmXMgaGVhbHRoCmluIGdlbmVyYWwgdGVybXMuIEhlYWx0aEdlbiBpcyByZXBvcnRlZCBmb3IgcGFydGljaXBhbnRzIGFnZWQgMTIKeWVhcnMgb3Igb2xkZXIuIEl0IGlzIGEgZmFjdG9yIHdpdGggdGhlIGZvbGxvd2luZyBsZXZlbHM6CkV4Y2VsbGVudCwgVmdvb2QsIEdvb2QsIEZhaXIsIG9yIFBvb3IuCgpXZSB3YW50IHRvIHRlc3Qgd2hldGhlciBvciBub3QgdGhlIG1lYW4gc3lzdG9saWMgYmxvb2QgcHJlc3N1cmUKdmFsdWUgKHRha2UgY29sdW1uIGBCUFN5czFgKSBpcyBlcXVhbCBiZXR3ZWVuIHRoZSBmaXZlIHNlbGYtcmVwb3J0ZWQKaGVhbHRoIGNhdGVnb3JpZXMuIFRvIHRoaXMgZW5kLCB3ZSB3aWxsIHVzZSBhbiBBTk9WQSBhbmFseXNpcwooaWYgdGhlIHJlcXVpcmVkIGFzc3VtcHRpb25zIGFyZSBtZXQpLgoKTG9hZCB0aGUgcmVxdWlyZWQgbGlicmFyaWVzCgpgYGB7ciwgbWVzc2FnZSA9IEZBTFNFfQpsaWJyYXJ5KHRpZHl2ZXJzZSkKYGBgCgojIERhdGEgaW1wb3J0CgpgYGB7ciwgbWVzc2FnZT1GQUxTRSwgd2FybmluZz1GQUxTRX0KTkhBTkVTIDwtIHJlYWRfY3N2KCJodHRwczovL3Jhdy5naXRodWJ1c2VyY29udGVudC5jb20vc3RhdE9taWNzL1BTTFNEYXRhL21haW4vTkhBTkVTLmNzdiIpCmdsaW1wc2UoTkhBTkVTWzE6MTBdKQpgYGAKCiMgRGF0YSBFeHBsb3JhdGlvbgoKYGBge3J9Ck5IQU5FUyAlPiUKICBnZ3Bsb3QoYWVzKHggPSBIZWFsdGhHZW4sIHkgPSBCUFN5czEsIGZpbGwgPSBIZWFsdGhHZW4pKSArCiAgc2NhbGVfZmlsbF9icmV3ZXIocGFsZXR0ZSA9ICJSZEd5IikgKwogIHRoZW1lX2J3KCkgKwogIGdlb21fYm94cGxvdChvdXRsaWVyLnNoYXBlID0gTkEpICsKICAjIGdlb21faml0dGVyKHdpZHRoID0gMC4yLHNpemU9MC4wMSkgKyAjIyBvbWl0dGVkIGFzIGl0IG1ha2VzIHRoZSBwbG90IG1lc3N5CiAgZ2d0aXRsZSgiQm94cGxvdCBvZiB0aGUgc3lzdG9saWMgYmxvb2RwcmVzc3VyZSBmb3IgZWFjaCBoZWFsdGggY2F0ZWdvcnkiKSArCiAgeWxhYigiU3lzdG9saWMgYmxvb2QgcHJlc3N1cmUgKG1tSGcpIikgKwpzdGF0X3N1bW1hcnkoCiAgZnVuID0gbWVhbiwgZ2VvbSA9ICJwb2ludCIsCiAgc2hhcGUgPSA1LCBzaXplID0gMywgY29sb3IgPSAiYmxhY2siLAopCmBgYAoKVGhpcyBwbG90IGlzIG5vdCBpZGVhbDsgaXQgd291bGQgYmUgZmFyIG1vcmUgaW50dWl0aXZlIGlmCnRoZSBoZWFsdGggY2F0ZWdvcmllcyB3ZXJlIG9yZGVyZWQgcHJvcGVybHkgKGkuZS4sIFBvb3IgLS0+IGV4Y2VsbGVudCkuCkluIGFkZGl0aW9uLCB3ZSBvYnNlcnZlIGEgc2l4dGggImNhdGVnb3J5IiBvZiBOQSB2YWx1ZXMuCgpUbyBnZXQgYSBtb3JlIGluZm9ybWF0aXZlIGFuZCBpbnR1aXRpdmUgdmlzdWFsaXphdGlvbiwgeW91IGNhbjoKCjEuIEZpbHRlciBvdXQgc3ViamVjdHMgd2l0aCBOQSB2YWx1ZXMgZm9yIGBIZWFsdGhHZW5gIG9yIGBCUFN5czFgCjIuIFNldCBgSGVhbHRoR2VuYCB0byBhIGZhY3RvciBhbmQgcmVsZXZlbCBpdCB0byBQb29yIC0tPiBFeGNlbGxlbnQKCioqSGludDoqKiBUaGUgc2Vjb25kIHRhc2sgY2FuIGJlIGFjaGlldmVkIGJ5IHVzaW5nIHRoZSBgbXV0YXRlYCwKYGFzLmZhY3RvcmAgYW5kIGBmY3RfcmVsZXZlbGAgZnVuY3Rpb25zLgoKYGBge3J9Ck5IQU5FUyA8LSBOSEFORVMgJT4lCiAgZmlsdGVyKCFpcy5uYShIZWFsdGhHZW4pLCAhaXMubmEoQlBTeXMxKSkgJT4lCiAgbXV0YXRlKEhlYWx0aEdlbiA9IGFzLmZhY3RvcihIZWFsdGhHZW4pKSAlPiUKICBtdXRhdGUoSGVhbHRoR2VuID0gZmN0X3JlbGV2ZWwoSGVhbHRoR2VuLCBjKCJQb29yIiwgIkZhaXIiLCAiR29vZCIsICJWZ29vZCIsICJFeGNlbGxlbnQiKSkpCmBgYAoKYGBge3J9Ck5IQU5FUyAlPiUKICBnZ3Bsb3QoYWVzKHggPSBIZWFsdGhHZW4sIHkgPSBCUFN5czEsIGZpbGwgPSBIZWFsdGhHZW4pKSArCiAgc2NhbGVfZmlsbF9icmV3ZXIocGFsZXR0ZSA9ICJSZEd5IikgKwogIHRoZW1lX2J3KCkgKwogIGdlb21fYm94cGxvdChvdXRsaWVyLnNoYXBlID0gTkEpICsKICBnZ3RpdGxlKCJCb3hwbG90IG9mIHRoZSBzeXN0b2xpYyBibG9vZHByZXNzdXJlIGZvciBlYWNoIGhlYWx0aCBjYXRlZ29yeSIpICsKICB5bGFiKCJTeXN0b2xpYyBibG9vZCBwcmVzc3VyZSAobW1IZykiKSArCnN0YXRfc3VtbWFyeSgKICBmdW4gPSBtZWFuLCBnZW9tID0gInBvaW50IiwKICBzaGFwZSA9IDUsIHNpemUgPSAzLCBjb2xvciA9ICJibGFjayIsCikKYGBgCgojIEFOT1ZBCgpUbyBzdHVkeSBpZiB0aGUgb2JzZXJ2ZWQgZGlmZmVyZW5jZSBiZXR3ZWVuIHRoZQphdmVyYWdlIHN5c3RvbGljIGJsb29kIHByZXNzdXJlIHZhbHVlcyBvZiB0aGUgZGlmZmVyZW50IGhlYWx0aCBncm91cHMKYXJlIHNpZ25pZmljYW50LCB3ZSBtYXkgcGVyZm9ybSBhbiBBTk9WQS4KCiMjIEZvcm11bGF0ZSBudWxsIGFuZCBhbHRlcm5hdGl2ZSBoeW9wdGhlc2VzCgpUaGUgbnVsbCBoeXBvdGhlc2lzIG9mIEFOT1ZBIHN0YXRlcyB0aGF0OgokSDAkOiBUaGUgbWVhbiBzeXN0b2xpYyBibG9vZCBwcmVzc3VyZSBpcyBlcXVhbCBiZXR3ZWVuIHRoZSBkaWZmZXJlbnQgaGVhbHRoIGdyb3Vwcy4KClRoZSBhbHRlcm5hdGl2ZSBoeXBvdGhlc2lzIG9mIEFOT1ZBIHN0YXRlcyB0aGF0OgokSEEkOiBUaGUgbWVhbiBzeXN0b2xpYyBibG9vZCBwcmVzc3VyZSBmb3IgYXQgbGVhc3Qgb25lIGhlYWx0aCBncm91cCBpcyBkaWZmZXJlbnQKZnJvbSB0aGUgbWVhbiBzeXN0b2xpYyBibG9vZCBwcmVzc3VyZSBpbiBhdCBsZWFzdCBvbmUgb3RoZXIgaGVhbHRoIGdyb3VwLgoKIyMgQ2hlY2sgdGhlIGFzc3VtcHRpb25zIGZvciBBTk9WQQoKQmVmb3JlIHdlIG1heSBwcm9jZWVkIHdpdGggdGhlIGFuYWx5c2lzLCB3ZSBtdXN0IG1ha2Ugc3VyZSB0aGF0IGFsbAphc3N1bXB0aW9ucyBmb3IgQU5PVkEgYXJlIG1ldC4gQU5PVkEgaGFzIHRocmVlIGFzc3VtcHRpb25zOgoKMS4gVGhlIG9ic2VydmF0aW9ucyBhcmUgaW5kZXBlbmRlbnQgb2YgZWFjaCBvdGhlciAoaW4gYWxsIGdyb3VwcykKMi4gVGhlIGRhdGEgKEJQU3lzMSkgbXVzdCBiZSBub3JtYWxseSBkaXN0cmlidXRlZCAoaW4gYWxsIGdyb3VwcykKMy4gVGhlIHZhcmlhYmlsaXR5IHdpdGhpbiBhbGwgZ3JvdXBzIGlzIHNpbWlsYXIKCiMjIyBBc3N1bXB0aW9uIG9mIGluZGVwZW5kZW5jZQoKVGhlIGZpcnN0IGFzc3VtcHRpb24gaXMgbWV0OyB0aGVyZSBzaG91ZCBiZSBubyBzcGVjaWZpYyBwYXR0dGVybnMgb2YgZGVwZW5kZW5jZS4KCiMjIyBBc3N1bXB0aW9uIG9mIG5vcm1hbGl0eQoKRm9yIHRoZSBzZWNvbmQgYXNzdW1wdGlvbiwgd2UgbXVzdCBjaGVjayBub3JtYWxpdHkgaW4gZWFjaCBncm91cC4KCmBgYHtyfQpOSEFORVMgJT4lCiAgZ2dwbG90KGFlcyhzYW1wbGUgPSBCUFN5czEpKSArCiAgZ2VvbV9xcSgpICsKICBnZW9tX3FxX2xpbmUoKSArCiAgZmFjZXRfZ3JpZCh+SGVhbHRoR2VuKQpgYGAKClRoZSBkYXRhIGRvZXMgbm90IGFwcGVhciB0byBiZSBub3JtYWxseSBkaXN0cmlidXRlZCBmb3IKZWFjaCBncm91cC4gSXQgc2VlbXMgdG8gaGF2ZSBhIGhlYXZ5IHJpZ2h0IHRhaWwuIFdlIGNhbgpwZXJmb3JtIGEgbG9nIHRyYW5zZm9ybWF0aW9uIG9uIHRoZSBkYXRhLgoKYGBge3J9Ck5IQU5FUyAlPiUKICBtdXRhdGUoQlBTeXMxX2xvZyA9IGxvZyhCUFN5czEpKSAlPiUKICBnZ3Bsb3QoYWVzKHNhbXBsZSA9IEJQU3lzMV9sb2cpKSArCiAgZ2VvbV9xcSgpICsKICBnZW9tX3FxX2xpbmUoKSArCiAgZmFjZXRfZ3JpZCh+SGVhbHRoR2VuKQpgYGAKCldoaWxlIHRoZSBsb2cgdHJhbnNmb3JtYXRpb24gaW1wcm92ZWQgdGhlIGRpc3RyaWJ1dGlvbnMgc29tZXdoYXQsCnRoZSBkYXRhIHN0aWxsIGRvZXMgbm90IGFwcGVhciB0byBiZSBub3JtYWxseSBkaXN0cmlidXRlZCBmb3IKZWFjaCBncm91cC4gSG93ZXZlciwgd2UgZG8gaGF2ZSBhIHZlcnkgbGFyZ2UgbnVtYmVyIG9mCm9ic2VydmF0aW9ucyBwZXIgZ3JvdXA6CgpgYGB7cn0KIyMgQ291bnQgdGhlIG51bWJlciBvZiBvYnNlcnZhdGlvbnMgcGVyIHRyZWF0bWVudApOSEFORVMgJT4lCiAgY291bnQoSGVhbHRoR2VuKQpgYGAKCkFzIHN1Y2gsIHdlIG1heSByZWx5IG9uIHRoZSBjZW50YWwgbGltaXQgdGhlb3JlbS4KUmVtZW1iZXIsIHRoZSBjZW50YWwgbGltaXQgdGhlb3JlbSB0aGF0IHdoZW4gdGhlIG51bWJlcgpvZiBvYnNlcnZhdGlvbnMgaXMgc3VmZmljaWVudGx5IGxhcmdlIChpLmUuID4xMDApLCB3ZQp3aWxsIGFzc3VtZSB0aGF0IHRoZSBkaXN0cmlidXRpb24gb2YgdGhlIHNhbXBsZSBtZWFuIHdpbGwKYXBwcm94aW1hdGUgYSBub3JtYWwgZGlzdHJpYnV0aW9uLCBldmVuIGlmIHRoZSB1bmRlcmx5aW5nCmRhdGEgaXMgbm90IG5vcm1hbGx5IGRpc3RyaWJ1dGVkLgoKIyMgQU5PVkEgbW9kZWwKCmBgYHtyfQpmaXQgPC0gbG0obG9nKEJQU3lzMSkgfiBIZWFsdGhHZW4sIE5IQU5FUykKZml0X2Fub3ZhIDwtIGFub3ZhKGZpdCkKZml0X2Fub3ZhCnByaW50KHBhc3RlKCJOb3Qtcm91bmRlZCBwLXZhbHVlOiIsIGZpdF9hbm92YSRgUHIoPkYpYFsxXSkpCmBgYAoKVGhlIHAtdmFsdWUgb2YgdGhlIEFOT1ZBIGFuYWx5c2lzIGlzIGV4dHJlbWVseSBzaWduaWZpY2FudAoocC12YWx1ZSA9IGByIGZvcm1hdChmaXRfYW5vdmEkIlByKD5GKSJbMV0sZGlnaXRzPTQpYCksCnNvIHdlIHJlamVjdCB0aGUgbnVsbCBoeXBvdGhlc2lzIHRoYXQgdGhlIG1lYW4Kc3lzdG9saWMgYmxvb2QgcHJlc3N1cmUgaXMgZXF1YWwgZm9yIHRoZSBkaWZmZXJlbnQgaGVhbHRoIGdyb3Vwcy4KV2UgY2FuIHNheSB0aGF0IHRoZSBtZWFuIHN5c3RvbGljIGJsb29kIHByZXNzdXJlIGlzIHNpZ25pZmljYW50bHkgZGlmZmVyZW50CmJldHdlZW4gYXQgbGVhc3QgdHdvIGhlYWx0aCBncm91cHMgb24gdGhlIDUlIHNpZ25pZmljYW5jZSBsZXZlbC4KCkJhc2VkIG9uIHRoaXMgYW5hbHlzaXMsIHdlIGRvIG5vdCB5ZXQga25vdyBiZXR3ZWVuIHdoaWNoIHBhcnRpY3VsYXIKYmlyZCB0eXBlcyB0aGVyZSBpcyBhIHNpZ25pZmljYW50IGRpZmZlcmVuY2UuIFRvIHN0dWR5IHRoaXMsIHdlIHdpbGwKcGVyZnJvbSB0aGUgVHVja2V5IHBvc3QtaG9jIGFuYWx5c2lzLgoKIyMgUG9zdC1ob2MgYW5hbHlzaXMKCmBgYHtyLG1lc3NhZ2U9RkFMU0V9CmxpYnJhcnkobXVsdGNvbXAsIHF1aWV0bHkgPSBUUlVFKQptY3AgPC0gZ2xodChmaXQsIGxpbmZjdCA9IG1jcChIZWFsdGhHZW4gPSAiVHVrZXkiKSkKc3VtbWFyeShtY3ApCmNvbmZpbnQobWNwKQpgYGAKCiMjIENvbmNsdXNpb24KCldlIGhhdmUgZm91bmQgYW4gZXh0cmVtZWx5IHNpZ25pZmljYW50IGRlcGVuZGVuY2UgKHAtdmFsdWUgPSBgciBmb3JtYXQoZml0X2Fub3ZhJCJQcig+RikiWzFdLGRpZ2l0cz00KWApLApiZXR3ZWVuIHRoZSBtZWFuIHN5c3RvbGljIGJsb29kIHByZXNzdXJlIGFuZCB0aGUgaGVhbHRoIGdyb3VwCm9uIHRoZSBnbG9iYWwgNSUgc2lnbmlmaWNhbmNlIGxldmVsLgoKVGhlIG1lYW4gbG9nYXJpdGhtIG9mIHN5c3RvbGljIGJsb29kIHByZXNzdXJlIGluIHRoZSBzZWxmLXJlcG9ydGVkIGhlYWx0aApjYXRlZ29yeSBgUG9vcmAgaXMgc2lnbmlmaWNhbnRseSBoaWdoZXIgYXMgY29tcGFyZWQgdGhyZWUgb3RoZXIgZ3JvdXBzOgoKLSB0aGUgYEdvb2RgIGdyb3VwIChhZGp1c3RlZCBwLXZhbHVlID0gPCAwLjAwMSwgbWVhbiBkaWZmZXJlbmNlID0gLTAuMDM2NzYyIG1tSGcsIDk1JSBDSSBbLTAuMDM0NzI1OyAtMC4wMDcxNDJdKQotIHRoZSBgVmdvb2RgIGdyb3VwIChhZGp1c3RlZCBwLXZhbHVlID0gPCAwLjAwMSwgbWVhbiBkaWZmZXJlbmNlID0gLTAuMDU5NDE1IG1tSGcsIDk1JSBDSSBbLTAuMDg3MzUyOyAtMC4wMzE0NzddKQotIHRoZSBgRXhjZWxsZW50YCBncm91cCAoYWRqdXN0ZWQgcC12YWx1ZSA9IDwgMC4wMDEsIG1lYW4gZGlmZmVyZW5jZSA9IC0wLjA1OTQxNSBtbUhnLCA5NSUgQ0kgWy0wLjA4NTE2NDsgLTAuMDI1Nzg5XSkKClRoZSBtZWFuIGxvZ2FyaXRobSBvZiAgc3lzdG9saWMgYmxvb2QgcHJlc3N1cmUgaW4gdGhlIHNlbGYtcmVwb3J0ZWQgaGVhbHRoCmNhdGVnb3J5IGBGYWlyYCBpcyBzaWduaWZpY2FudGx5IGhpZ2hlciBhcyBjb21wYXJlZCB0aHJlZSBvdGhlciBncm91cHM6CgotIHRoZSBgR29vZGAgZ3JvdXAgKGFkanVzdGVkIHAtdmFsdWUgPSAwLjAwMzE3LCBtZWFuIGRpZmZlcmVuY2UgPSAtMC4wMjA5MzQgIG1tSGcsIDk1JSBDSSBbLTAuMDY0NTQyOyAtMC4wMDg5ODJdKQotIHRoZSBgVmdvb2RgIGdyb3VwIChhZGp1c3RlZCBwLXZhbHVlID0gPCAwLjAwMSwgbWVhbiBkaWZmZXJlbmNlID0gLTAuMDQzNTg3IG1tSGcsIDk1JSBDSSBbLTAuMDU3NjkyOyAtMC4wMjk0ODFdKQotIHRoZSBgRXhjZWxsZW50YCBncm91cCAoYWRqdXN0ZWQgcC12YWx1ZSA9IDwgMC4wMDEsIG1lYW4gZGlmZmVyZW5jZSA9IC0wLjAzOTY0OCBtbUhnLCA5NSUgQ0kgWy0wLjA1Njk2MzsgLTAuMDIyMzMzXSkKClRoZSBtZWFuIGxvZ2FyaXRobSBvZiBzeXN0b2xpYyBibG9vZCBwcmVzc3VyZSBpbiB0aGUgc2VsZi1yZXBvcnRlZCBoZWFsdGgKY2F0ZWdvcnkgYEdvb2RgIGlzIHNpZ25pZmljYW50bHkgaGlnaGVyIGFzIGNvbXBhcmVkIHR3byBvdGhlciBncm91cHM6CgotIHRoZSBgVmdvb2RgIGdyb3VwIChhZGp1c3RlZCBwLXZhbHVlID0gPCAwLjAwMSwgbWVhbiBkaWZmZXJlbmNlID0gLTAuMDIyNjUzIG1tSGcsIDk1JSBDSSBbLTAuMDMyODQzOyAtMC4wMTI0NjNdKQotIHRoZSBgRXhjZWxsZW50YCBncm91cCAoYWRqdXN0ZWQgcC12YWx1ZSA9IDAuMDAzNjIsIG1lYW4gZGlmZmVyZW5jZSA9IC0wLjAxODcxNCBtbUhnLCA5NSUgQ0kgWy0wLjAzMzAyMTsgLTAuMDA0NDA4XSkKCldlIGRvIG5vdCBmaW5kIGVub3VnaCBldmlkZW5jZSB0byBjbGFpbSBhIGRpZmZlcmVuY2UgaW4gc3lzdG9saWMKYmxvb2QgcHJlc3N1cmUgbGV2ZWxzIGJldHdlZW4gdGhlIG90aGVyIGdyb3Vwcy4KCk5vdGUgdGhhdCBpbiBvcmRlciB0byBpbnRlcnByZXQgdGhlIG91dGNvbWVzIG9uIHRoZSBvcmlnaW5hbCBzY2FsZSwKd2Ugc2hvdWxkIGJhY2t0cmFuc2Zvcm0gdGhlIG91dGNvbWVzIHdpdGggdGhlIGBleHAoKWAgZnVuY3Rpb25zCihpbnRlcnByZXRhdGlvbiBvbiB0aGUgZ2VvbWV0cmljIG1lYW4pLgo=