This is part of the online course Proteomics Data Analysis (PDA)
Note, that the R-code is included for learners who are aiming to develop R/markdown scripts to automate their quantitative proteomics data analyses. According to the target audience of the course we either work with a graphical user interface (GUI) in a R/shiny App msqrob2gui (e.g. Proteomics Bioinformatics course of the EBI and the Proteomics Data Analysis course at the Gulbenkian institute) or with R/markdowns scripts (e.g. Bioinformatics Summer School at UCLouvain or the Statistical Genomics Course at Ghent University).


library(tidyverse)
library(limma)
library(QFeatures)
library(msqrob2)
library(plotly)
library(ggplot2)peptidesFile <- "https://raw.githubusercontent.com/statOmics/PDA/data/quantification/francisella/peptides.txt"ecols <- grep("Intensity\\.", names(read.delim(peptidesFile)))pe <- readQFeatures(
table = peptidesFile,
fnames = 1,
ecol = ecols,
name = "peptideRaw", sep="\t")colData(pe)$genotype <- pe[[1]] %>%
colnames %>%
substr(12,13) %>%
as.factor %>%
relevel("WT")
pe %>% colData## DataFrame with 6 rows and 1 column
## genotype
## <factor>
## Intensity.1WT_20_2h_n3_3 WT
## Intensity.1WT_20_2h_n4_3 WT
## Intensity.1WT_20_2h_n5_3 WT
## Intensity.3D8_20_2h_n3_3 D8
## Intensity.3D8_20_2h_n4_3 D8
## Intensity.3D8_20_2h_n5_3 D8
rowData(pe[["peptideRaw"]])$nNonZero <- rowSums(assay(pe[["peptideRaw"]]) > 0)NA value rather than 0.pe <- zeroIsNA(pe, "peptideRaw") # convert 0 to NApe <- logTransform(pe, base = 2, i = "peptideRaw", name = "peptideLog")pe <- filterFeatures(pe, ~ Proteins %in% smallestUniqueGroups(rowData(pe[["peptideLog"]])$Proteins))pe <- filterFeatures(pe,~Reverse != "+")
pe <- filterFeatures(pe,~ Contaminant != "+")pe <- filterFeatures(pe,~ nNonZero >=2)
nrow(pe[["peptideLog"]])## [1] 6525
We keep 6525 peptides upon filtering.
pe <- normalize(pe,
i = "peptideLog",
name = "peptideNorm",
method = "center.median")pe <- aggregateFeatures(pe,
i = "peptideNorm",
fcol = "Proteins",
na.rm = TRUE,
name = "protein")## Your quantitative and row data contain missing values. Please read the
## relevant section(s) in the aggregateFeatures manual page regarding the
## effects of missing values on data aggregation.
Plot of preprocessed data
pe[["peptideNorm"]] %>%
assay %>%
as.data.frame() %>%
gather(sample, intensity) %>%
mutate(genotype = colData(pe)[sample,"genotype"]) %>%
ggplot(aes(x = intensity,group = sample,color = genotype)) +
geom_density() +
ggtitle("Peptide-level")## Warning: Removed 7561 rows containing non-finite values (stat_density).

pe[["protein"]] %>%
assay %>%
as.data.frame() %>%
gather(sample, intensity) %>%
mutate(genotype = colData(pe)[sample,"genotype"]) %>%
ggplot(aes(x = intensity,group = sample,color = genotype)) +
geom_density() +
ggtitle("Protein-level")## Warning: Removed 428 rows containing non-finite values (stat_density).
pe %>%
colData %>%
knitr::kable()| genotype | |
|---|---|
| Intensity.1WT_20_2h_n3_3 | WT |
| Intensity.1WT_20_2h_n4_3 | WT |
| Intensity.1WT_20_2h_n5_3 | WT |
| Intensity.3D8_20_2h_n3_3 | D8 |
| Intensity.3D8_20_2h_n4_3 | D8 |
| Intensity.3D8_20_2h_n5_3 | D8 |
pe[["protein"]] %>% assay() %>% head() %>% knitr::kable()| Intensity.1WT_20_2h_n3_3 | Intensity.1WT_20_2h_n4_3 | Intensity.1WT_20_2h_n5_3 | Intensity.3D8_20_2h_n3_3 | Intensity.3D8_20_2h_n4_3 | Intensity.3D8_20_2h_n5_3 | |
|---|---|---|---|---|---|---|
| WP_003013731 | -0.2748775 | -0.0856247 | 0.1595370 | -0.2809009 | 0.0035526 | 0.0567110 |
| WP_003013860 | NA | NA | -0.2512039 | NA | NA | -0.4865646 |
| WP_003013909 | -0.6851118 | -0.8161658 | -0.7557906 | -0.4591476 | -0.5449424 | -0.4962482 |
| WP_003014068 | 0.6495386 | 0.8522239 | 1.1344852 | 0.5459176 | 0.9187714 | 0.5974741 |
| WP_003014122 | -0.7630863 | -1.0430741 | -0.8091715 | -1.1743951 | -1.1924725 | -1.2565893 |
| WP_003014123 | -0.2051672 | -0.3361704 | -0.2151930 | -0.3855747 | -0.2802011 | -0.5801771 |

\[ \log_2 \text{FC} = \bar{y}_{p1}-\bar{y}_{p2} \]
\[ T_g=\frac{\log_2 \text{FC}}{\text{se}_{\log_2 \text{FC}}} \]
\[ T_g=\frac{\widehat{\text{signal}}}{\widehat{\text{Noise}}} \]
If we can assume equal variance in both treatment groups:
\[ \text{se}_{\log_2 \text{FC}}=\text{SD}\sqrt{\frac{1}{n_1}+\frac{1}{n_2}} \]
WP_003023392 <- data.frame(
intensity = assay(pe[["protein"]]["WP_003023392",]) %>% c(),
genotype = colData(pe)[,1])
WP_003023392 %>%
ggplot(aes(x=genotype,y=intensity)) +
geom_point() +
ggtitle("Protein WP_003023392")
\[ t=\frac{\log_2\widehat{\text{FC}}}{\text{se}_{\log_2\widehat{\text{FC}}}}=\frac{-1.43}{0.0577}=-24.7 \]
Is t = -24.7 indicating that there is an effect?
How likely is it to observe t = -24.7 when there is no effect of the argP KO on the protein expression?
With data we can never prove a hypothesis (falsification principle of Popper)
With data we can only reject a hypothesis
In general we start from alternative hypothese \(H_1\): we want to show an effect of the KO on a protein
t.test(intensity ~ genotype, data = WP_003023392, var.equal=TRUE)##
## Two Sample t-test
##
## data: intensity by genotype
## t = 24.747, df = 4, p-value = 1.582e-05
## alternative hypothesis: true difference in means between group WT and group D8 is not equal to 0
## 95 percent confidence interval:
## 1.267666 1.588058
## sample estimates:
## mean in group WT mean in group D8
## -0.1821147 -1.6099769
How likely is it to observe an equal or more extreme effect than the one observed in the sample when the null hypothesis is true?
When we make assumptions about the distribution of our test statistic we can quantify this probability: p-value. The p-value will only be calculated correctly if the underlying assumptions hold!
When we repeat the experiment, the probability to observe a fold change for this gene that is more extreme than a 2.69 fold (\(\log_2 FC=-1.43\)) down or up regulation by random change (if \(H_0\) is true) is 16 out of 1 000 000.
If the p-value is below a significance threshold \(\alpha\) we reject the null hypothesis. We control the probability on a false positive result at the \(\alpha\)-level (type I error)
Note, that the p-values are uniform under the null hypothesis, i.e. when \(H_0\) is true all p-values are equally likely.
Consider testing DA for all \(m=1066\) proteins simultaneously
What if we assess each individual test at level \(\alpha\)? \(\rightarrow\) Probability to have a false positive (FP) among all m simultatenous test \(>>> \alpha= 0.05\)
Indeed for each non DA protein we have a probability of 5% to return a FP.
In a typical experiment the majority of the proteins are non DA.
So an upperbound of the expected FP is \(m \times \alpha\) or \(1066 \times 0.05=53\).
\(\rightarrow\) Hence, we are bound to call many false positive proteins each time we run the experiment.
The family-wise error rate (FWER) addresses the multiple testing issue by no longer controlling the individual type I error for each protein, instead it controls:
\[ \text{FWER} = \text{P}\left[FP \geq 1 \right]. \]
The Bonferroni method is widely used to control the type I error:
Problem, the method is very conservative!
The False Discovery Proportion (FDP) is the fraction of false positives that are returned, i.e.
\[ FDP = \frac{FP}{R} \]
Therefore, Benjamini and Hochberg, 1995, defined The False Discovery Rate (FDR) as \[ \text{FDR} = \text{E}\left[\frac{FP}{R}\right] =\text{E}\left[\text{FDP}\right] \] the expected FDP.
Consider \(m = 1000\) tests
Suppose that a researcher rejects all null hypotheses for which \(p < 0.01\).
If we use \(p < 0.01\), we expect \(0.01 \times m_0\) tests to return false positives.
A conservative estimate of the number of false positives that we can expect can be obtained by considering that the null hypotheses are true for all features, \(m_0 = m = 1000\).
We then would expect \(0.01 \times 1000 = 10\) false positives (\(FP=10\)).
Suppose that the researcher found 200 genes with \(p<0.01\) (\(R=200\)).
The proportion of false positive results (FDP = false positive proportion) among the list of \(R=200\) genes can then be estimated as \[ \widehat{\text{FDP}}=\frac{FP}{R}=\frac{10}{200}=\frac{0.01 \times 1000}{200} = 0.05. \]
Let \(p_{(1)}\leq \ldots \leq p_{(m)}\) denote the ordered \(p\)-values.
Find the largest integer \(k\) so that \[ \frac{p_{(k)} \times m}{k} \leq \alpha \] \[\text{or}\] \[ p_{(k)} \leq k \times \alpha/m \]
If such a \(k\) exists, reject the \(k\) null hypotheses associated with \(p_{(1)}, \ldots, p_{(k)}\). Otherwise none of the null hypotheses is rejected.
The adjusted \(p\)-value (also known as the \(q\)-value in FDR literature): \[ q_{(i)}=\tilde{p}_{(i)} = \min\left[\min_{j=i,\ldots, m}\left(m p_{(j)}/j\right), 1 \right]. \] In the hypothetical example above: \(k=200\), \(p_{(k)}=0.01\), \(m=1000\) and \(\alpha=0.05\).
ttestMx <- function(y,group) {
test <- try(t.test(y[group],y[!group],var.equal=TRUE),silent=TRUE)
if(is(test,"try-error")) {
return(c(log2FC=NA,se=NA,tstat=NA,p=NA))
} else {
return(c(log2FC= (test$estimate%*%c(1,-1)),se=test$stderr,tstat=test$statistic,pval=test$p.value))
}
}
res <- apply(
assay(pe[["protein"]]),
1,
ttestMx,
group = colData(pe)$genotype=="D8") %>%
t
colnames(res) <- c("logFC","se","tstat","pval")
res <- res %>% as.data.frame %>% na.exclude %>% arrange(pval)
res$adjPval <- p.adjust(res$pval, "fdr")
alpha <- 0.05
res$adjAlphaForm <- paste0(1:nrow(res)," x ",alpha,"/",nrow(res))
res$adjAlpha <- alpha * (1:nrow(res))/nrow(res)
res$"pval < adjAlpha" <- res$pval < res$adjAlpha
res$"adjPval < alpha" <- res$adjPval < alpha FWER: Bonferroni method:\(\alpha_\text{adj} = \alpha/m = 0.05 / 1066= 5\times 10^{-5}\)
| logFC | pval | adjPval | adjAlphaForm | adjAlpha | pval < adjAlpha | adjPval < alpha | |
|---|---|---|---|---|---|---|---|
| WP_003038940 | -0.2876290 | 0.0000146 | 0.0084347 | 1 x 0.05/1066 | 0.0000469 | TRUE | TRUE |
| WP_003023392 | -1.4278622 | 0.0000158 | 0.0084347 | 2 x 0.05/1066 | 0.0000938 | TRUE | TRUE |
| WP_003039212 | -0.2658247 | 0.0000820 | 0.0291520 | 3 x 0.05/1066 | 0.0001407 | TRUE | TRUE |
| WP_003026016 | -1.0800305 | 0.0001395 | 0.0346124 | 4 x 0.05/1066 | 0.0001876 | TRUE | TRUE |
| WP_003039615 | -0.3992190 | 0.0001623 | 0.0346124 | 5 x 0.05/1066 | 0.0002345 | TRUE | TRUE |
| WP_011733588 | -0.4323262 | 0.0002291 | 0.0407034 | 6 x 0.05/1066 | 0.0002814 | TRUE | TRUE |
| WP_003014552 | -0.9843865 | 0.0003224 | 0.0440266 | 7 x 0.05/1066 | 0.0003283 | TRUE | TRUE |
| WP_003040849 | -1.2780743 | 0.0003304 | 0.0440266 | 8 x 0.05/1066 | 0.0003752 | TRUE | TRUE |
| WP_003038430 | -0.4331987 | 0.0004505 | 0.0489078 | 9 x 0.05/1066 | 0.0004221 | FALSE | TRUE |
| WP_003033975 | -0.2949061 | 0.0005047 | 0.0489078 | 10 x 0.05/1066 | 0.0004690 | FALSE | TRUE |
| WP_011733645 | 0.3531405 | 0.0005171 | 0.0489078 | 11 x 0.05/1066 | 0.0005159 | FALSE | TRUE |
| WP_011733723 | -0.3935768 | 0.0005506 | 0.0489078 | 12 x 0.05/1066 | 0.0005629 | TRUE | TRUE |
| WP_003038679 | -0.3909725 | 0.0007083 | 0.0580821 | 13 x 0.05/1066 | 0.0006098 | FALSE | FALSE |
| WP_003033719 | -1.1865453 | 0.0008426 | 0.0603810 | 14 x 0.05/1066 | 0.0006567 | FALSE | FALSE |
| … | … | … | … | … | … | … | … |
| WP_003040562 | 0.0039480 | 0.9976429 | 0.9985797 | 1065 x 0.05/1066 | 0.0499531 | FALSE | FALSE |
| WP_003041130 | 0.0002941 | 0.9992812 | 0.9992812 | 1066 x 0.05/1066 | 0.05 | FALSE | FALSE |
volcanoT <- res %>%
ggplot(aes(x = logFC, y = -log10(pval), color = adjPval < 0.05)) +
geom_point(cex = 2.5) +
scale_color_manual(values = alpha(c("black", "red"), 0.5)) +
theme_minimal() volcanoT
Problems with ordinary t-test
problemPlots <- list()
problemPlots[[1]] <- res %>%
ggplot(aes(x = logFC, y = se, color = adjPval < 0.05)) +
geom_point(cex = 2.5) +
scale_color_manual(values = alpha(c("black", "red"), 0.5)) +
theme_minimal()
for (i in 2:3)
{
problemPlots[[i]] <- colData(pe) %>%
as.data.frame %>%
mutate(intensity = pe[["protein"]][rownames(res)[i],] %>%
assay %>%
c) %>%
ggplot(aes(x=genotype,y=intensity)) +
geom_point() +
ylim(-3,0) +
ggtitle(rownames(res)[i])
}problemPlots## [[1]]

##
## [[2]]

##
## [[3]]

A general class of moderated test statistics is given by \[ T_g^{mod} = \frac{\bar{Y}_{g1} - \bar{Y}_{g2}}{C \quad \tilde{S}_g} , \] where \(\tilde{S}_g\) is a moderated standard deviation estimate.
simI<-sapply(res$se/sqrt(1/3+1/3),function(n,mean,sd) rnorm(n,mean,sd),n=6,mean=0) %>% t
resSim <- apply(
simI,
1,
ttestMx,
group = colData(pe)$genotype=="D8") %>%
t
colnames(resSim) <- c("logFC","se","tstat","pval")
resSim <- as.data.frame(resSim)
tstatSimPlot <- resSim %>%
ggplot(aes(x=tstat)) +
geom_histogram(aes(y=..density.., fill=..count..),bins=30) +
stat_function(fun=dt,
color="red",
args=list(df=4)) +
ylim(0,.6) +
ggtitle("t-statistic")
resSim$C <- sqrt(1/3+1/3)
resSim$sd <- resSim$se/resSim$C
tstatSimPerseus <- resSim %>%
ggplot(aes(x=logFC/((sd+.1)*C))) +
geom_histogram(aes(y=..density.., fill=..count..),bins=30) +
stat_function(fun=dt,
color="red",
args=list(df=4)) +
ylim(0,.6) +
ggtitle("Perseus")gridExtra::grid.arrange(tstatSimPlot,tstatSimPerseus,nrow=1)

Figure courtesy to Rafael Irizarry
\[ T_g^{mod} = \frac{\bar{Y}_{g1} - \bar{Y}_{g2}}{C \quad \tilde{S}_g} , \]
\[ \tilde{S}_g=\sqrt{\frac{d_gS_g^2+d_0S_0^2}{d_g+d_0}}, \]
msqrob function. By default msqrob2 estimates the model parameters using robust regression.We will model the data with a different group mean for every genotype. The group is incoded in the variable genotype of the colData. We can specify this model by using a formula with the factor genotype as its predictor: formula = ~genotype.
Note, that a formula always starts with a symbol ‘~’.
pe <- msqrob(object = pe, i = "protein", formula = ~genotype)We first explore the design of the model that we specified using the the package ExploreModelMatrix
library(ExploreModelMatrix)
VisualizeDesign(colData(pe),~genotype)$plotlist[[1]]
We have two model parameters, the (Intercept) and genotypeD8. This results in a model with two group means:
\[\text{E}[Y\vert \text{genotype}=\text{WT}] = \text{(Intercept)}\]
\[\text{E}[Y\vert \text{genotype}=\text{D8}] = \text{(Intercept)} + \text{genotypeD8}\]
The average log2FC between D8 and WT is thus \[\log_2\text{FC}_{D8-WT}= \text{E}[Y\vert \text{genotype}=\text{D8}] - \text{E}[Y\vert \text{genotype}=\text{WT}] = \text{genotypeD8} \]
Hence, assessing the null hypothesis that there is no differential abundance between D8 and WT can be reformulated as
\[H_0: \text{genotypeD8}=0\] We can implement a hypothesis test for each protein in msqrob2 using the code below:
L <- makeContrast("genotypeD8 = 0", parameterNames = c("genotypeD8"))
pe <- hypothesisTest(object = pe, i = "protein", contrast = L)We can show the list with all significant DE proteins at the 5% FDR using
rowData(pe[["protein"]])$genotypeD8 %>%
arrange(pval) %>%
filter(adjPval<0.05)We can also visualise the results using a volcanoplot
volcano <- ggplot(
rowData(pe[["protein"]])$genotypeD8,
aes(x = logFC, y = -log10(pval), color = adjPval < 0.05)
) +
geom_point(cex = 2.5) +
scale_color_manual(values = alpha(c("black", "red"), 0.5)) +
theme_minimal() +
ggtitle("msqrob2")gridExtra::grid.arrange(
volcanoT +
xlim(-3,3) +
ggtitle("ordinary t-test"),
volcano +
xlim(-3,3)
,nrow=2)## Warning: Removed 109 rows containing missing values (geom_point).

The volcano plot opens up when using the EB variance estimator
Borrowing strength to estimate the variance using empirical Bayes solves the issue of returning proteins with a low fold change as significant due to a low variance.
qplot(
sapply(rowData(pe[["protein"]])$msqrobModels,getSigma),
sapply(rowData(pe[["protein"]])$msqrobModels,getSigmaPosterior)) +
xlab("SD") +
ylab("moderated SD") +
geom_abline(intercept = 0,slope = 1) +
geom_hline(yintercept = ) ## Warning: Removed 109 rows containing missing values (geom_point).

sigNames <- rowData(pe[["protein"]])$genotypeD8 %>%
rownames_to_column("protein") %>%
filter(adjPval < 0.05) %>%
pull(protein)
heatmap(assay(pe[["protein"]])[sigNames, ])
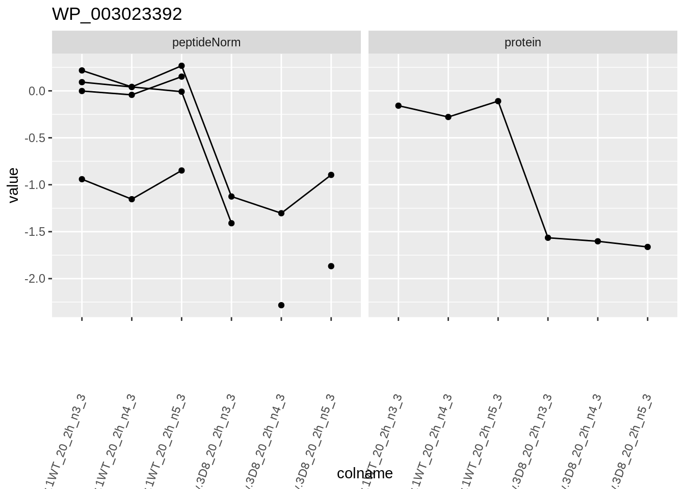
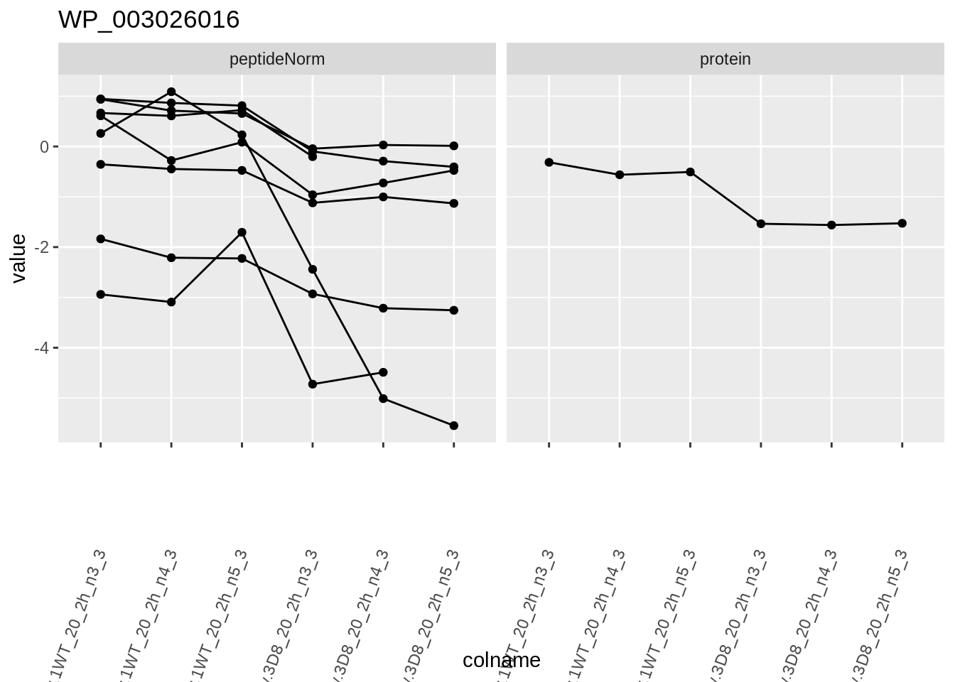
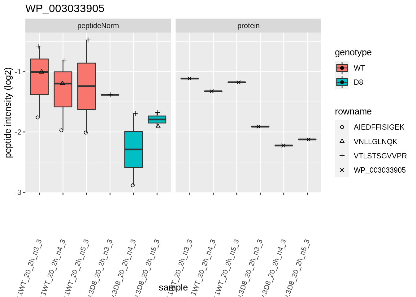
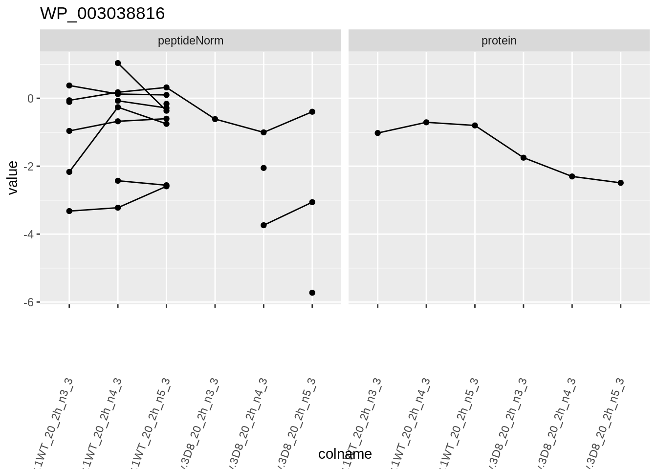
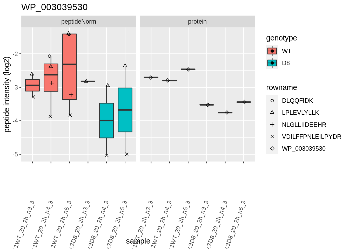
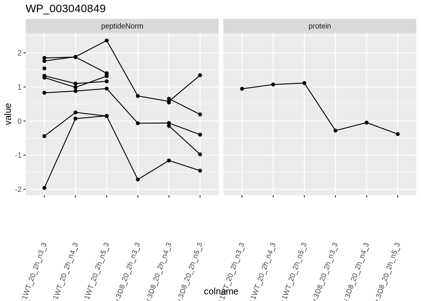
for (protName in sigNames)
{
pePlot <- pe[protName, , c("peptideNorm", "protein")]
pePlotDf <- data.frame(longFormat(pePlot))
pePlotDf$assay <- factor(pePlotDf$assay,
levels = c("peptideNorm", "protein")
)
pePlotDf$genotype <- as.factor(colData(pePlot)[pePlotDf$colname, "genotype"])
# plotting
p1 <- ggplot(
data = pePlotDf,
aes(x = colname, y = value, group = rowname)
) +
geom_line() +
geom_point() +
facet_grid(~assay) +
theme(axis.text.x = element_text(angle = 70, hjust = 1, vjust = 0.5)) +
ggtitle(protName)
print(p1)
# plotting 2
p2 <- ggplot(pePlotDf, aes(x = colname, y = value, fill = genotype)) +
geom_boxplot(outlier.shape = NA) +
geom_point(
position = position_jitter(width = .1),
aes(shape = rowname)
) +
scale_shape_manual(values = 1:nrow(pePlotDf)) +
labs(title = protName, x = "sample", y = "peptide intensity (log2)") +
theme(axis.text.x = element_text(angle = 70, hjust = 1, vjust = 0.5)) +
facet_grid(~assay)
print(p2)
}























\[ \log_2 \text{FC} = \bar{y}_{p1}-\bar{y}_{p2} \]
\[ T_g=\frac{\log_2 \text{FC}}{\text{se}_{\log_2 \text{FC}}} \]
\[ T_g=\frac{\widehat{\text{signal}}}{\widehat{\text{Noise}}} \]
If we can assume equal variance in both treatment groups:
\[ \text{se}_{\log_2 \text{FC}}=\text{SD}\sqrt{\frac{1}{n_1}+\frac{1}{n_2}} \]
\(\rightarrow\) if number of bio-repeats increases we have a higher power!
\[\sigma^2= \sigma^2_{bio}+\sigma^2_\text{lab} +\sigma^2_\text{extraction} + \sigma^2_\text{run} + \ldots\]
https://www.nature.com/articles/nmeth.3005.pdf

Duguet et al. (2017) MCP 16(8):1416-1432. doi: 10.1074/mcp.m116.062745
To illustrate the power of blocking we have subsetted the data of Duguet et al. in a
completely randomized design with
randomized complete block design with four mice for which we both have
library(tidyverse)
library(limma)
library(QFeatures)
library(msqrob2)
library(plotly)
library(gridExtra)
peptidesFile <- "https://raw.githubusercontent.com/statOmics/PDA21/data/quantification/mouseTcell/peptidesRCB.txt"
peptidesFile2 <- "https://raw.githubusercontent.com/statOmics/PDA21/data/quantification/mouseTcell/peptidesCRD.txt"
peptidesFile3 <- "https://raw.githubusercontent.com/statOmics/PDA21/data/quantification/mouseTcell/peptides.txt"
ecols <- grep("Intensity\\.", names(read.delim(peptidesFile)))
pe <- readQFeatures(
table = peptidesFile,
fnames = 1,
ecol = ecols,
name = "peptideRaw", sep="\t")
ecols2 <- grep("Intensity\\.", names(read.delim(peptidesFile2)))
pe2 <- readQFeatures(
table = peptidesFile2,
fnames = 1,
ecol = ecols2,
name = "peptideRaw", sep="\t")
ecols3 <- grep("Intensity\\.", names(read.delim(peptidesFile3)))
pe3 <- readQFeatures(
table = peptidesFile3,
fnames = 1,
ecol = ecols3,
name = "peptideRaw", sep="\t")
### Design
colData(pe)$celltype <- substr(
colnames(pe[["peptideRaw"]]),
11,
14) %>%
unlist %>%
as.factor
colData(pe)$mouse <- pe[[1]] %>%
colnames %>%
strsplit(split="[.]") %>%
sapply(function(x) x[3]) %>%
as.factor
colData(pe2)$celltype <- substr(
colnames(pe2[["peptideRaw"]]),
11,
14) %>%
unlist %>%
as.factor
colData(pe2)$mouse <- pe2[[1]] %>%
colnames %>%
strsplit(split="[.]") %>%
sapply(function(x) x[3]) %>%
as.factor
colData(pe3)$celltype <- substr(
colnames(pe3[["peptideRaw"]]),
11,
14) %>%
unlist %>%
as.factor
colData(pe3)$mouse <- pe3[[1]] %>%
colnames %>%
strsplit(split="[.]") %>%
sapply(function(x) x[3]) %>%
as.factor
rowData(pe[["peptideRaw"]])$nNonZero <- rowSums(assay(pe[["peptideRaw"]]) > 0)
rowData(pe2[["peptideRaw"]])$nNonZero <- rowSums(assay(pe2[["peptideRaw"]]) > 0)
rowData(pe3[["peptideRaw"]])$nNonZero <- rowSums(assay(pe3[["peptideRaw"]]) > 0)NA value rather than 0.pe <- zeroIsNA(pe, "peptideRaw") # convert 0 to NA
pe2 <- zeroIsNA(pe2, "peptideRaw") # convert 0 to NA
pe3 <- zeroIsNA(pe3, "peptideRaw") # convert 0 to NApe <- logTransform(pe, base = 2, i = "peptideRaw", name = "peptideLog")
pe2 <- logTransform(pe2, base = 2, i = "peptideRaw", name = "peptideLog")
pe3 <- logTransform(pe3, base = 2, i = "peptideRaw", name = "peptideLog")
In our approach a peptide can map to multiple proteins, as long as there is none of these proteins present in a smaller subgroup.
pe <- filterFeatures(pe, ~ Proteins %in% smallestUniqueGroups(rowData(pe[["peptideLog"]])$Proteins))
pe2 <- filterFeatures(pe2, ~ Proteins %in% smallestUniqueGroups(rowData(pe2[["peptideLog"]])$Proteins))
pe3 <- filterFeatures(pe3, ~ Proteins %in% smallestUniqueGroups(rowData(pe3[["peptideLog"]])$Proteins))We now remove the contaminants, peptides that map to decoy sequences, and proteins which were only identified by peptides with modifications.
pe <- filterFeatures(pe,~Reverse != "+")
pe <- filterFeatures(pe,~ Potential.contaminant != "+")
pe2 <- filterFeatures(pe2,~Reverse != "+")
pe2 <- filterFeatures(pe2,~ Potential.contaminant != "+")
pe3 <- filterFeatures(pe3,~Reverse != "+")
pe3 <- filterFeatures(pe3,~ Potential.contaminant != "+")We keep peptides that were observed at last twice.
pe <- filterFeatures(pe,~ nNonZero >=2)
nrow(pe[["peptideLog"]])## [1] 44449
pe2 <- filterFeatures(pe2,~ nNonZero >=2)
nrow(pe2[["peptideLog"]])## [1] 43401
pe3 <- filterFeatures(pe3,~ nNonZero >=2)
nrow(pe3[["peptideLog"]])## [1] 47431
pe <- normalize(pe,
i = "peptideLog",
name = "peptideNorm",
method = "center.median")
pe2 <- normalize(pe2,
i = "peptideLog",
name = "peptideNorm",
method = "center.median")
pe3 <- normalize(pe3,
i = "peptideLog",
name = "peptideNorm",
method = "center.median")
pe <- aggregateFeatures(pe,
i = "peptideNorm",
fcol = "Proteins",
na.rm = TRUE,
name = "protein")## Your quantitative and row data contain missing values. Please read the
## relevant section(s) in the aggregateFeatures manual page regarding the
## effects of missing values on data aggregation.
pe2 <- aggregateFeatures(pe2,
i = "peptideNorm",
fcol = "Proteins",
na.rm = TRUE,
name = "protein")## Your quantitative and row data contain missing values. Please read the
## relevant section(s) in the aggregateFeatures manual page regarding the
## effects of missing values on data aggregation.
pe3 <- aggregateFeatures(pe3,
i = "peptideNorm",
fcol = "Proteins",
na.rm = TRUE,
name = "protein")## Your quantitative and row data contain missing values. Please read the
## relevant section(s) in the aggregateFeatures manual page regarding the
## effects of missing values on data aggregation.
levels(colData(pe3)$mouse) <- paste0("m",1:7)
mdsObj3 <- plotMDS(assay(pe3[["protein"]]), plot = FALSE)
mdsOrig <- colData(pe3) %>%
as.data.frame %>%
mutate(mds1 = mdsObj3$x,
mds2 = mdsObj3$y,
lab = paste(mouse,celltype,sep="_")) %>%
ggplot(aes(x = mds1, y = mds2, label = lab, color = celltype, group = mouse)) +
geom_text(show.legend = FALSE) +
geom_point(shape = 21) +
geom_line(color = "black", linetype = "dashed") +
xlab(
paste0(
mdsObj3$axislabel,
" ",
1,
" (",
paste0(
round(mdsObj3$var.explained[1] *100,0),
"%"
),
")"
)
) +
ylab(
paste0(
mdsObj3$axislabel,
" ",
2,
" (",
paste0(
round(mdsObj3$var.explained[2] *100,0),
"%"
),
")"
)
) +
ggtitle("Original (RCB)")
levels(colData(pe)$mouse) <- paste0("m",1:4)
mdsObj <- plotMDS(assay(pe[["protein"]]), plot = FALSE)
mdsRCB <- colData(pe) %>%
as.data.frame %>%
mutate(mds1 = mdsObj$x,
mds2 = mdsObj$y,
lab = paste(mouse,celltype,sep="_")) %>%
ggplot(aes(x = mds1, y = mds2, label = lab, color = celltype, group = mouse)) +
geom_text(show.legend = FALSE) +
geom_point(shape = 21) +
geom_line(color = "black", linetype = "dashed") +
xlab(
paste0(
mdsObj$axislabel,
" ",
1,
" (",
paste0(
round(mdsObj$var.explained[1] *100,0),
"%"
),
")"
)
) +
ylab(
paste0(
mdsObj$axislabel,
" ",
2,
" (",
paste0(
round(mdsObj$var.explained[2] *100,0),
"%"
),
")"
)
) +
ggtitle("Randomized Complete Block (RCB)")
levels(colData(pe2)$mouse) <- paste0("m",1:8)
mdsObj2 <- plotMDS(assay(pe2[["protein"]]), plot = FALSE)
mdsCRD <- colData(pe2) %>%
as.data.frame %>%
mutate(mds1 = mdsObj2$x,
mds2 = mdsObj2$y,
lab = paste(mouse,celltype,sep="_")) %>%
ggplot(aes(x = mds1, y = mds2, label = lab, color = celltype, group = mouse)) +
geom_text(show.legend = FALSE) +
geom_point(shape = 21) +
xlab(
paste0(
mdsObj$axislabel,
" ",
1,
" (",
paste0(
round(mdsObj2$var.explained[1] *100,0),
"%"
),
")"
)
) +
ylab(
paste0(
mdsObj$axislabel,
" ",
2,
" (",
paste0(
round(mdsObj2$var.explained[2] *100,0),
"%"
),
")"
)
) +
ggtitle("Completely Randomized Design (CRD)")mdsOrig
mdsRCB
mdsCRD
We observe that the leading fold change is according to mouse
In the second dimension we see a separation according to cell-type
With the Randomized Complete Block design (RCB) we can remove the mouse effect from the analysis!
We can isolate the between block variability from the analysis using linear model:
Formula in R \[ y \sim \text{celltype} + \text{mouse} \]
Formula
\[ y_i = \beta_0 + \beta_\text{Treg} x_{i,\text{Treg}} + \beta_{m2}x_{i,m2} + \beta_{m3}x_{i,m3} + \beta_{m4}x_{i,m4} + \epsilon_i \]
with
\(x_{i,Treg}=\begin{cases} 1& \text{Treg}\\ 0& \text{Tcon} \end{cases}\)
\(x_{i,m2}=\begin{cases} 1& \text{m2}\\ 0& \text{otherwise} \end{cases}\)
\(x_{i,m3}=\begin{cases} 1& \text{m3}\\ 0& \text{otherwise} \end{cases}\)
\(x_{i,m4}=\begin{cases} 1& \text{m4}\\ 0& \text{otherwise} \end{cases}\)
Possible in msqrob2 and MSstats but not possible with Perseus!
pe <- msqrob(
object = pe,
i = "protein",
formula = ~ celltype + mouse)pe2 <- msqrob(
object = pe2,
i = "protein",
formula = ~ celltype)Effect size in RCB
library(ExploreModelMatrix)
VisualizeDesign(colData(pe),~ celltype + mouse)$plotlist## [[1]]

Effect size in CRD
VisualizeDesign(colData(pe2),~ celltype)$plotlist## [[1]]

L <- makeContrast("celltypeTreg = 0", parameterNames = c("celltypeTreg"))
pe <- hypothesisTest(object = pe, i = "protein", contrast = L)
pe2 <- hypothesisTest(object = pe2, i = "protein", contrast = L)


accessions <- rownames(pe[["protein"]])[rownames(pe[["protein"]])%in%rownames(pe2[["protein"]])]
dat <- data.frame(
sigmaRBC = sapply(rowData(pe[["protein"]])$msqrobModels[accessions], getSigmaPosterior),
sigmaCRD <- sapply(rowData(pe2[["protein"]])$msqrobModels[accessions], getSigmaPosterior)
)
plotRBCvsCRD <- ggplot(data = dat, aes(sigmaRBC, sigmaCRD)) +
geom_point(alpha = 0.1, shape = 20) +
scale_x_log10() +
scale_y_log10() +
geom_abline(intercept=0,slope=1) plotRBCvsCRD## Warning: Removed 743 rows containing missing values (geom_point).

We clearly observe that the standard deviation of the protein expression in the RCB is smaller for the majority of the proteins than that obtained with the CRD
Why are some of the standard deviations for the RCB with the correct analysis larger than than of the RCB with the incorrect analysis that ignored the mouse blocking factor?
Can you think of a reason why it would not be useful to block on a particular factor?
Our R/Bioconductor package msqrob2 can be used in R markdown scripts or with a GUI/shinyApp in the msqrob2gui package.
The GUI is intended as a introduction to the key concepts of proteomics data analysis for users who have no experience in R.
However, learning how to code data analyses in R markdown scripts is key for open en reproducible science and for reporting your proteomics data analyses and interpretation in a reproducible way.
More information on our tools can be found in our papers (L. J. Goeminne, Gevaert, and Clement 2016), (L. J. E. Goeminne et al. 2020) and (Sticker et al. 2020). Please refer to our work when using our tools.
Clips on the code on importing the data and preprocessing can be found in Part I Preprocessing
A clip on the code for modelling and statistical inference with msqrob2 is included below